Última actualización :
27/01/2026
Antibiótico   Clindamycine hydrochloride  
Solución Oral
La estabilidad de las preparaciones farmacéuticas Estabilidad en mezcla Factores que influyen sobre la estabilidad Compatibilidades Bibliografía pdf
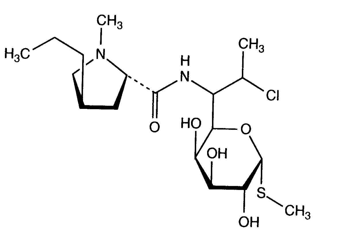
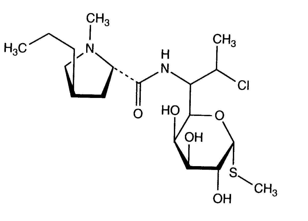
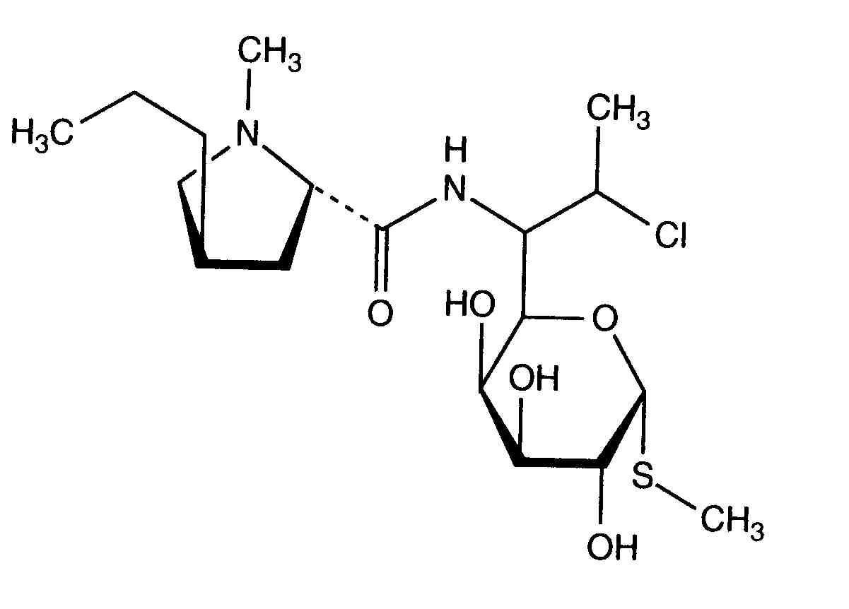
   Estructura química  

Solución Oral
La estabilidad de las preparaciones farmacéuticas   Solución Oral   La estabilidad de las preparaciones farmacéuticas : Clindamycine hydrochloride     
Envase Origine Excipiente Temperatura Conservación Duración de la estabilidad Bibliografía
No precisado Polvo 50 mg
® = ?
Suspendit® >> 5 mL
2-8°C A cubierto de la luz
180 Día
3901

No precisado Polvo 50 mg
® = ?
Suspendit® >> 5 mL
25°C A cubierto de la luz
45 Día
3901


  Mentions Légales