Siste oppdatering :
27/01/2026
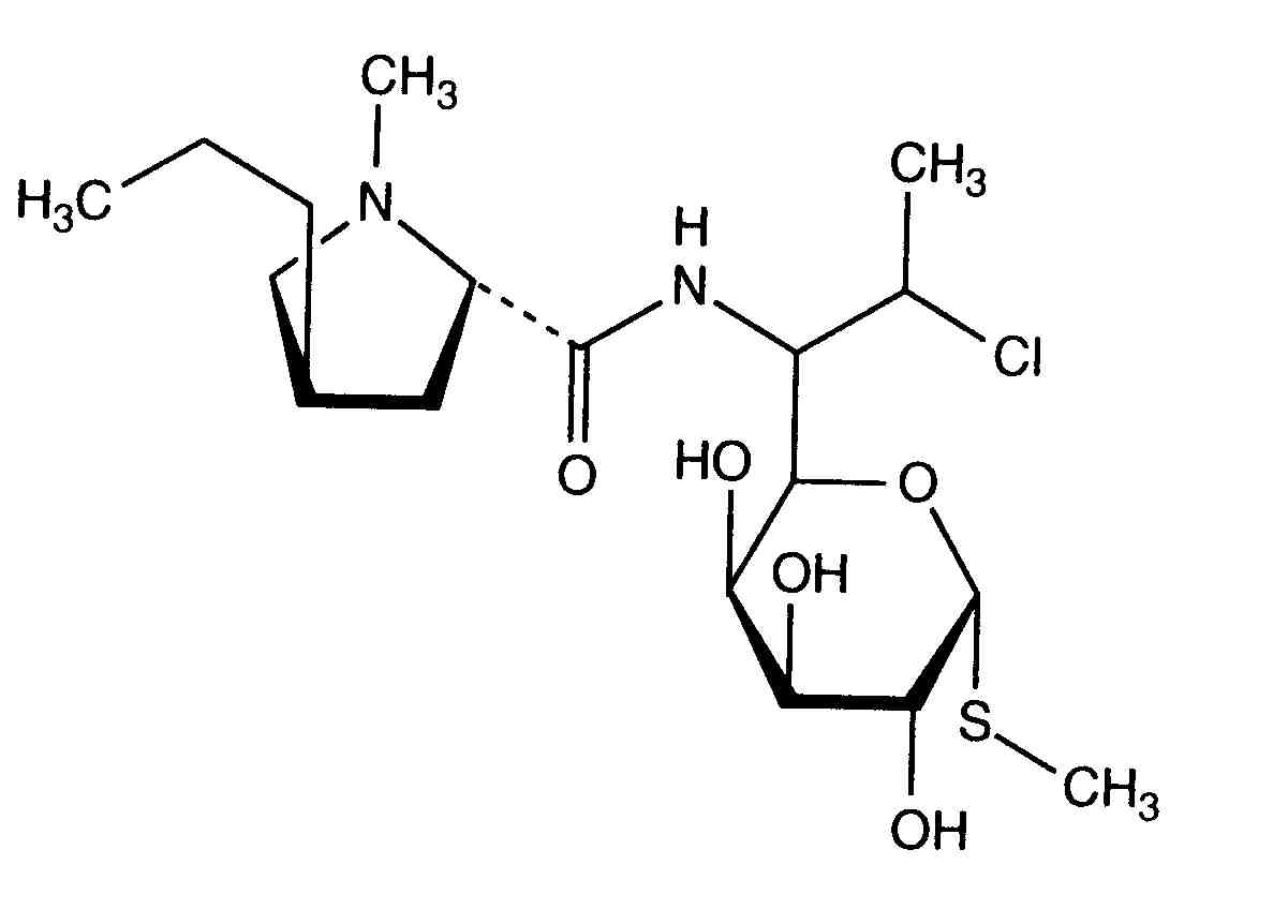
Antibiotika   Clindamycine hydrochloride  
Mikstur
Stabilitet av farmasøytiske preparater Stabilitet i blandinger Faktorer som påvirker stabiliteten Kompatibilitet Referanser pdf
   Kjemisk struktur  

Mikstur
Stabilitet av farmasøytiske preparater   Mikstur   Stabilitet av farmasøytiske preparater : Clindamycine hydrochloride     
Beholder Origine Hjelpestoff Temperatur Oppbevaring Varighet av stabilitet Referanser
Ikke angitt Pulver 50 mg
® = ?
Suspendit® >> 5 mL
2-8°C Beskyttes mot lys
180 Dag
3901

Ikke angitt Pulver 50 mg
® = ?
Suspendit® >> 5 mL
25°C Beskyttes mot lys
45 Dag
3901


  Mentions Légales