Τελευταία ενημέρωση :
27/04/2026
Αντιβιοτικό   Clindamycine hydrochloride  
Πόσιμο διάλυμα
Σταθερότητα και συμβατότητα των φαρμάκων Σταθερότητα σε μίγματα Παράγοντας που επηρεάζει τη σταθερότητα Συμβατότητες Βιβλιογραφία pdf
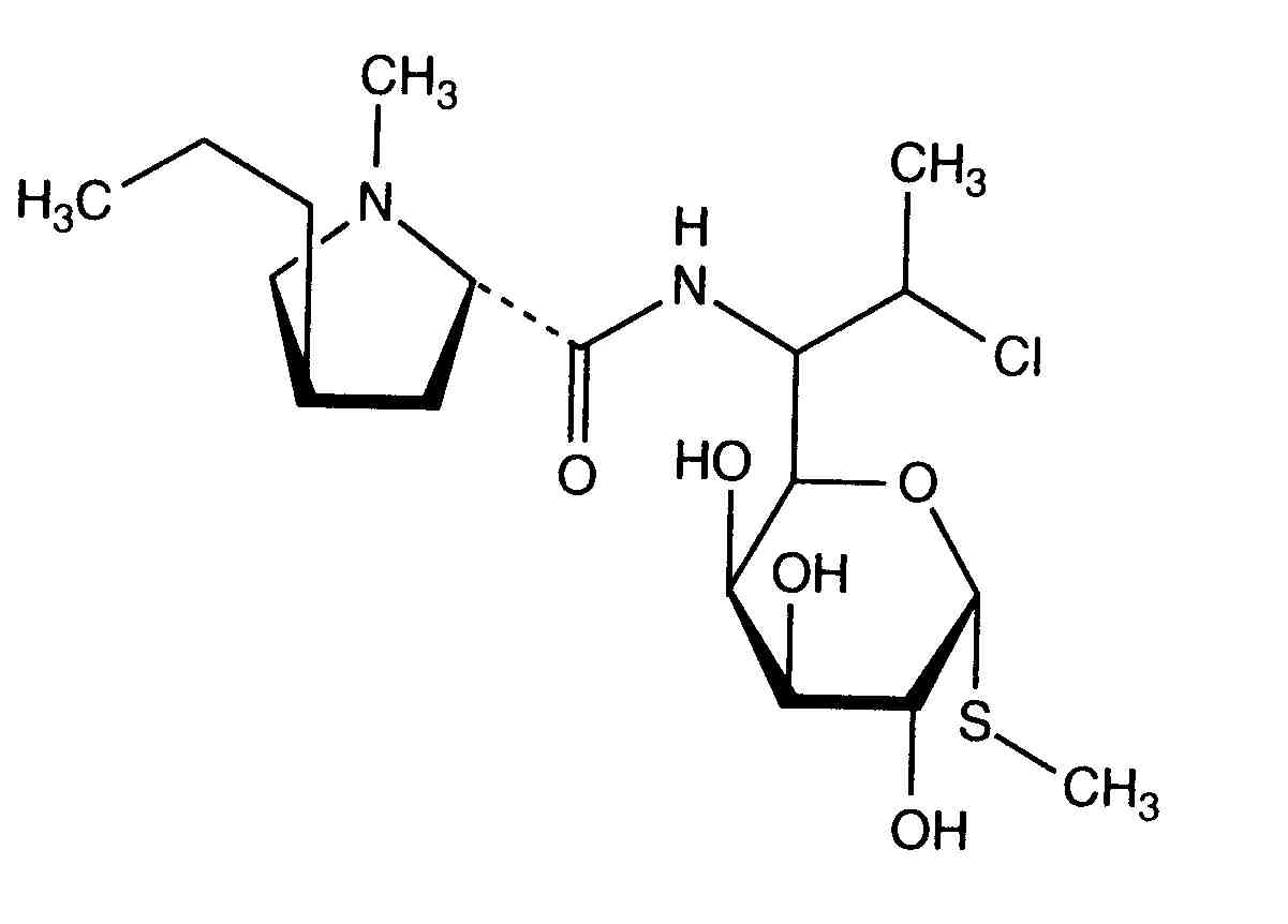
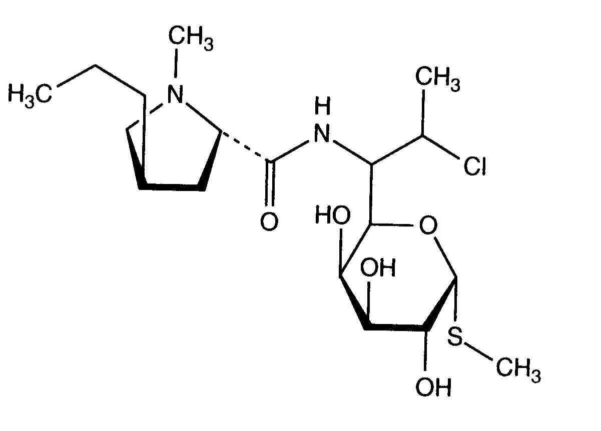
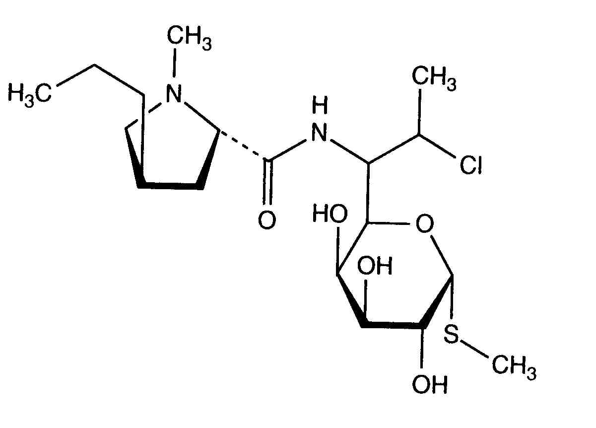
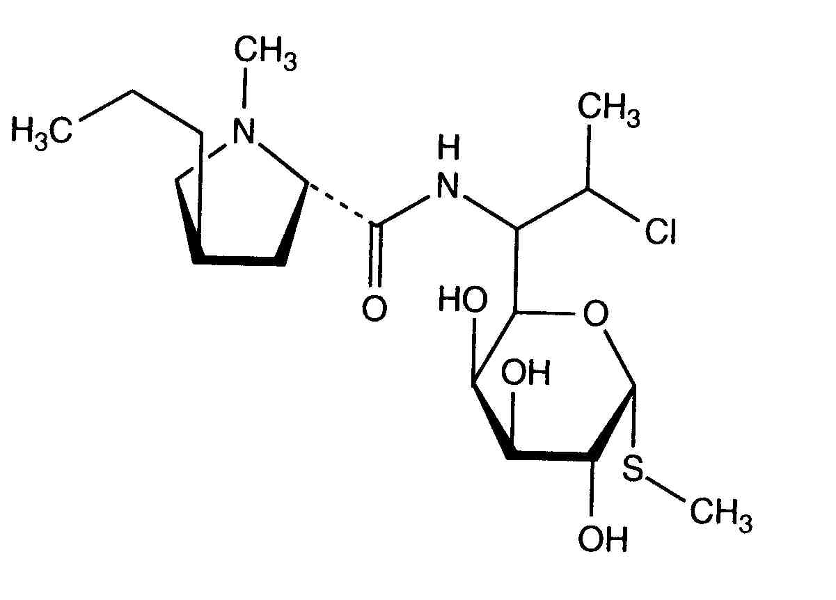
   χημική δομή  

Πόσιμο διάλυμα
Σταθερότητα και συμβατότητα των φαρμάκων   Πόσιμο διάλυμα   Σταθερότητα και συμβατότητα των φαρμάκων : Clindamycine hydrochloride     
Υποδοχέας Origine Έκδοχο Θερμοκρασία Αποθήκευση Διάρκεια σταθερότητας Βιβλιογραφία
Απροσδιόριστο Σκόνη 50 mg
® = ?
Suspendit® >> 5 mL
2-8°C Προστατεύετε από το φως
180 Ημέρα
3901

Απροσδιόριστο Σκόνη 50 mg
® = ?
Suspendit® >> 5 mL
25°C Προστατεύετε από το φως
45 Ημέρα
3901


  Mentions Légales