Viimeisin päivitys :
27/04/2026
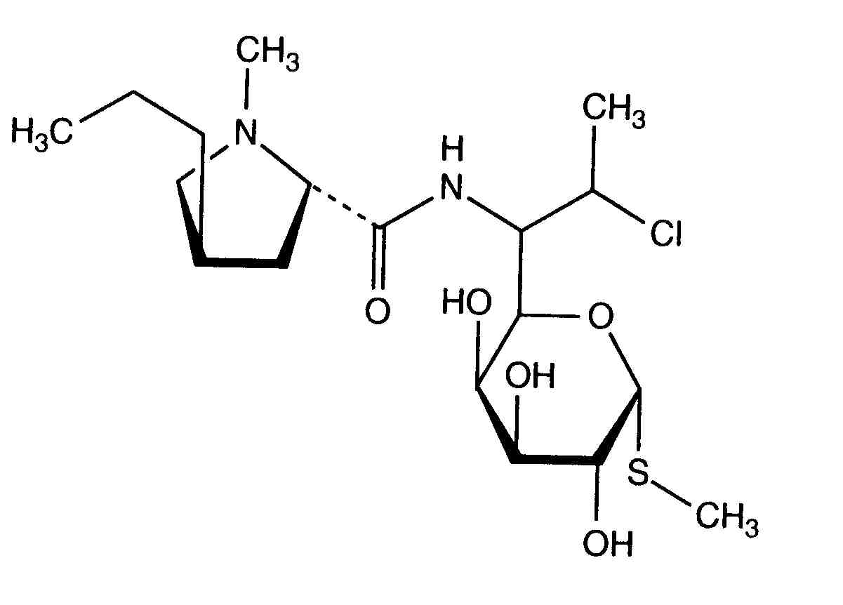
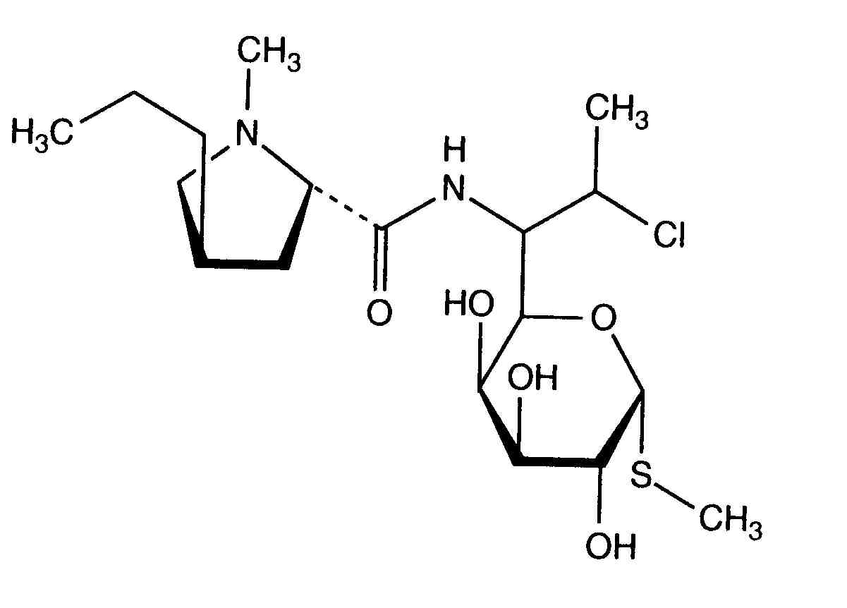
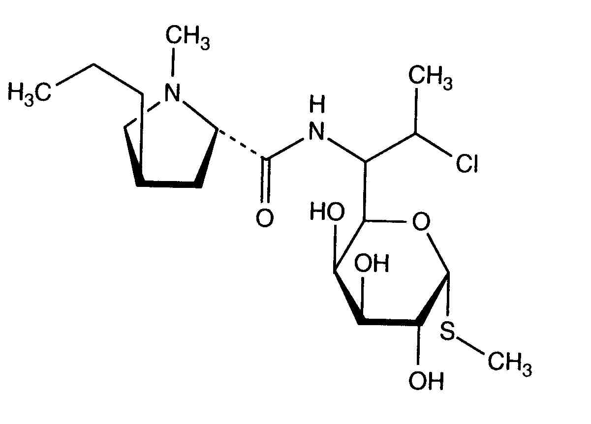
Antibiootit   Clindamycine hydrochloride  
Oraaliliuos
Vakaus lääkevalmisteen Stabilius seoksissa Tekijät, jotka vaikuttavat stabiliuteen Yhteensopivuus Viitteet pdf
   Kemiallinen rakenne  

Oraaliliuos
Vakaus lääkevalmisteen   Oraaliliuos   Vakaus lääkevalmisteen : Clindamycine hydrochloride     
Astia Origine Apuaine Lämpötila Säilytys Vakauden kesto Viitteet
Ei määritetty Jauhe 50 mg
® = ?
Suspendit® >> 5 mL
2-8°C Suojattava valolta
180 Päivä
3901

Ei määritetty Jauhe 50 mg
® = ?
Suspendit® >> 5 mL
25°C Suojattava valolta
45 Päivä
3901


  Mentions Légales