Laatste update :
27/01/2026
Antibioticum   Clindamycine hydrochloride  
Orale Oplossing
Stabiliteit van farmaceutische preparaten Stabiliteit in mengsels Factoren die de stabiliteit beïnvloeden Verenigbaarheden Literatuur pdf
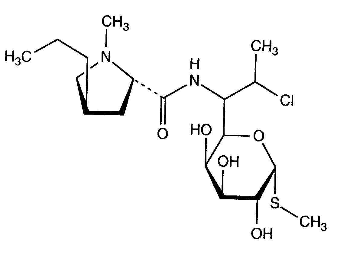
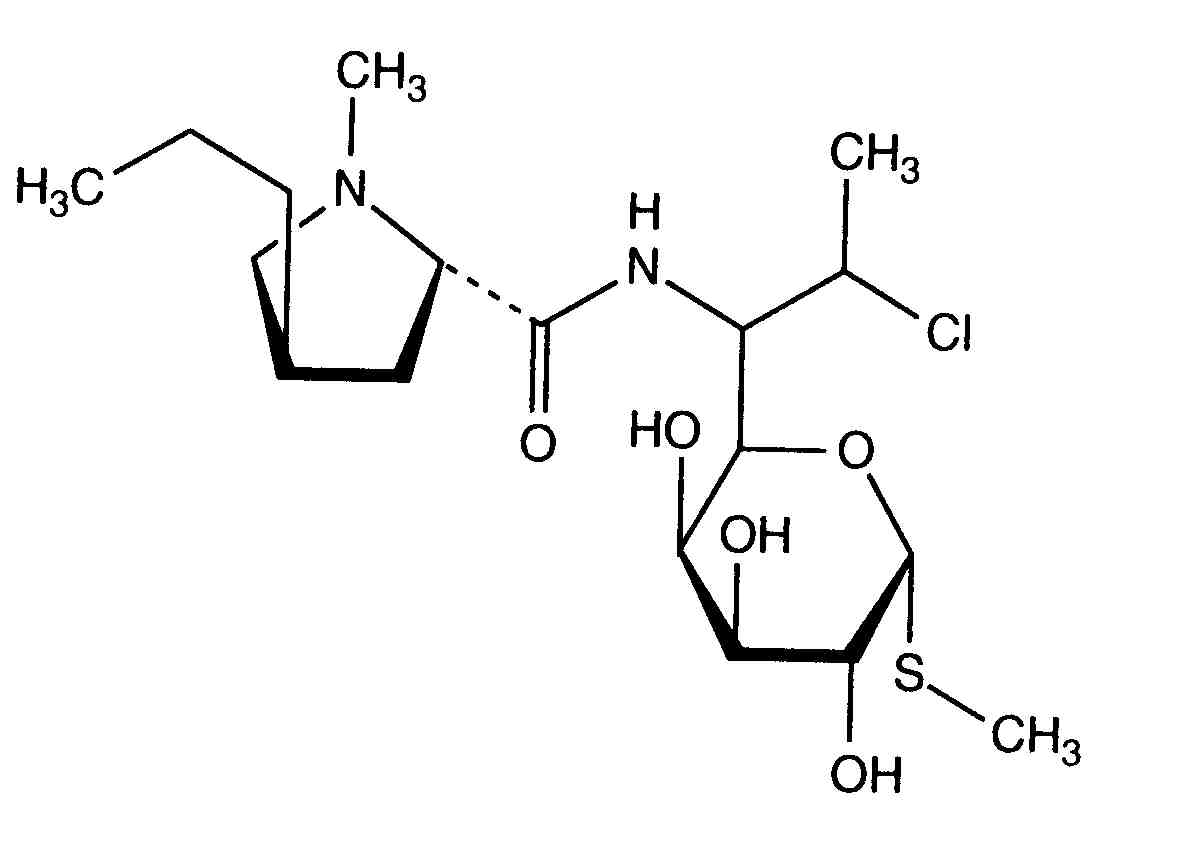
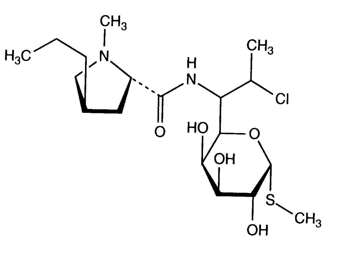
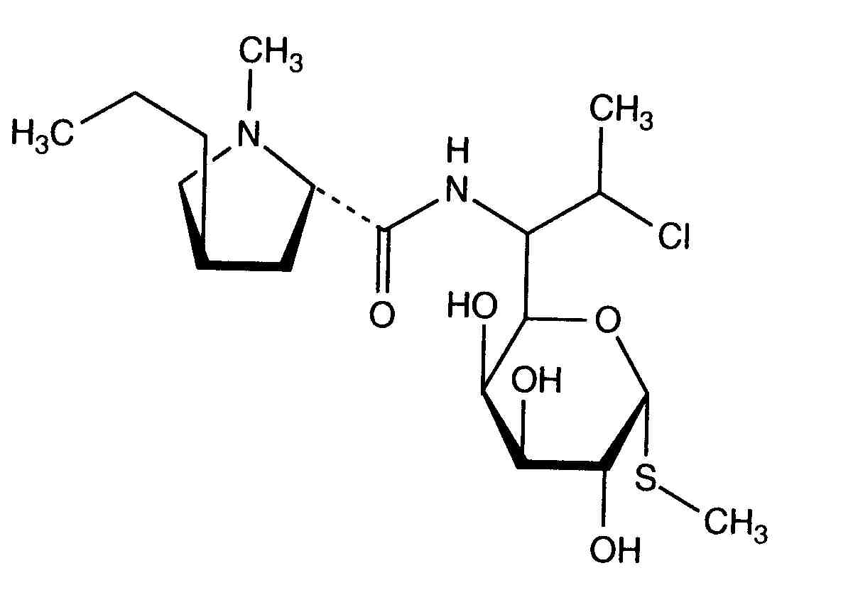
   Molecuulstructuur  

Orale Oplossing
Stabiliteit van farmaceutische preparaten   Orale Oplossing   Stabiliteit van farmaceutische preparaten : Clindamycine hydrochloride     
Verpakking Origine  ikˈsipēənt hulpstof Temperatuur Bewaring Duur van de stabiliteit Literatuur
Niet gespecificeerd poeder 50 mg
® = ?
Suspendit® >> 5 mL
2-8°C Buiten invloed van licht
180 Dag
3901

Niet gespecificeerd poeder 50 mg
® = ?
Suspendit® >> 5 mL
25°C Buiten invloed van licht
45 Dag
3901


  Mentions Légales