Poslední aktualizace :
27/01/2026
Antibiotikas   Clindamycine hydrochloride  
Geriamas tirpalas
Stabilumas farmacinių preparatų Mišinių stabilumas Stabilumą lemiantys veiksniai Suderinamumas Bibliografija pdf
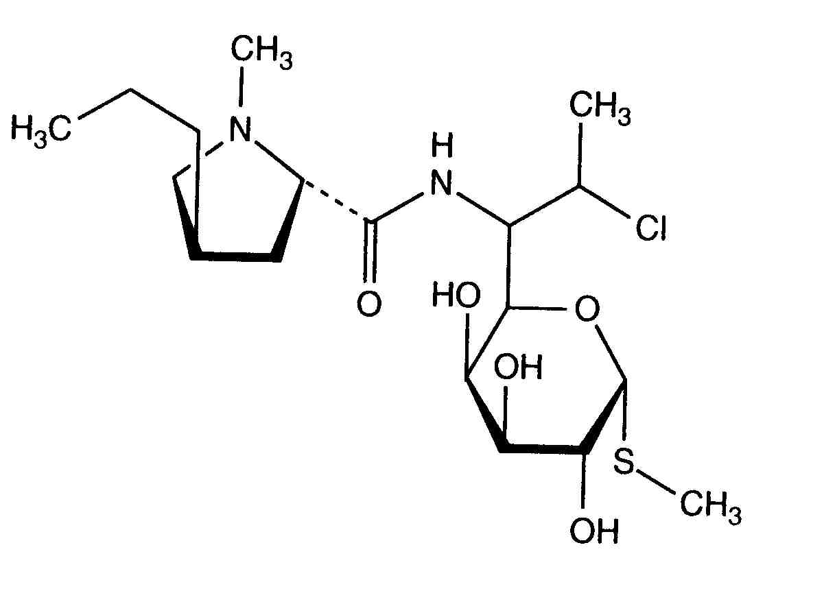
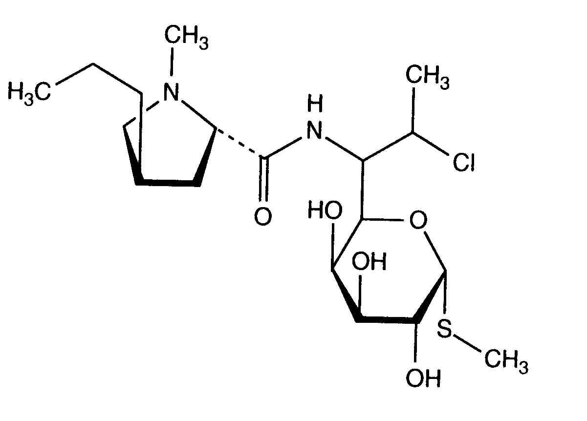
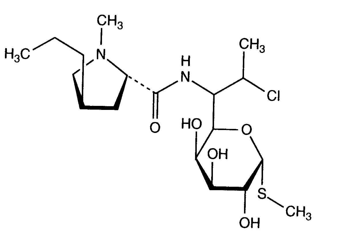
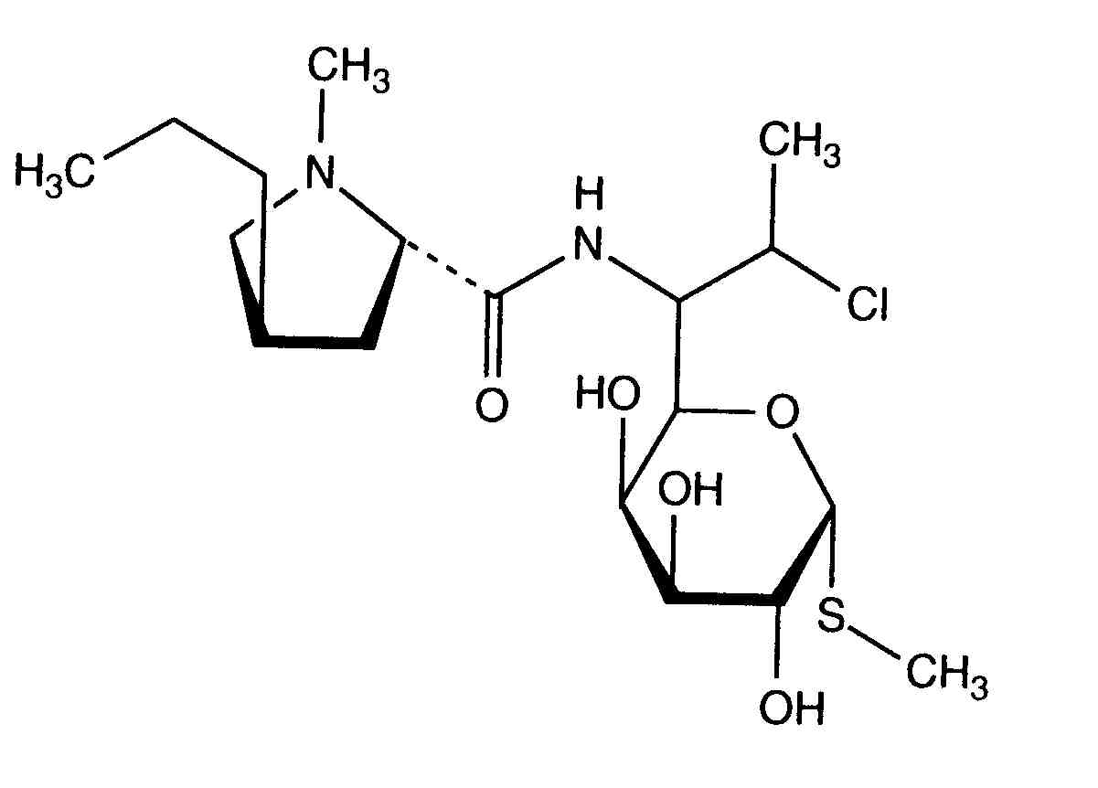
   Cheminė sandara  

Geriamas tirpalas
Stabilumas farmacinių preparatų   Geriamas tirpalas   Stabilumas farmacinių preparatų : Clindamycine hydrochloride     
Pakuotė Origine Ekscipientas Temperatūra Laikymas Stabilumo trukmė Nuorodos
Nenurodyta Milteliai 50 mg
® = ?
Suspendit® >> 5 mL
2-8°C Apsaugotas nuo šviesos
180 Diena
3901

Nenurodyta Milteliai 50 mg
® = ?
Suspendit® >> 5 mL
25°C Apsaugotas nuo šviesos
45 Diena
3901


  Mentions Légales