Senaste uppdateringen :
27/01/2026
Infostab
Förteckning över substanser
Sammanfattande listor
Sök efter kompatibilitet
Kompatibilitetstabell
Hänvisningar
forskargrupper
valistab
Posters
Anslutningar
sponsorer
Författare
Användaranvisning
Nyhetsbladet
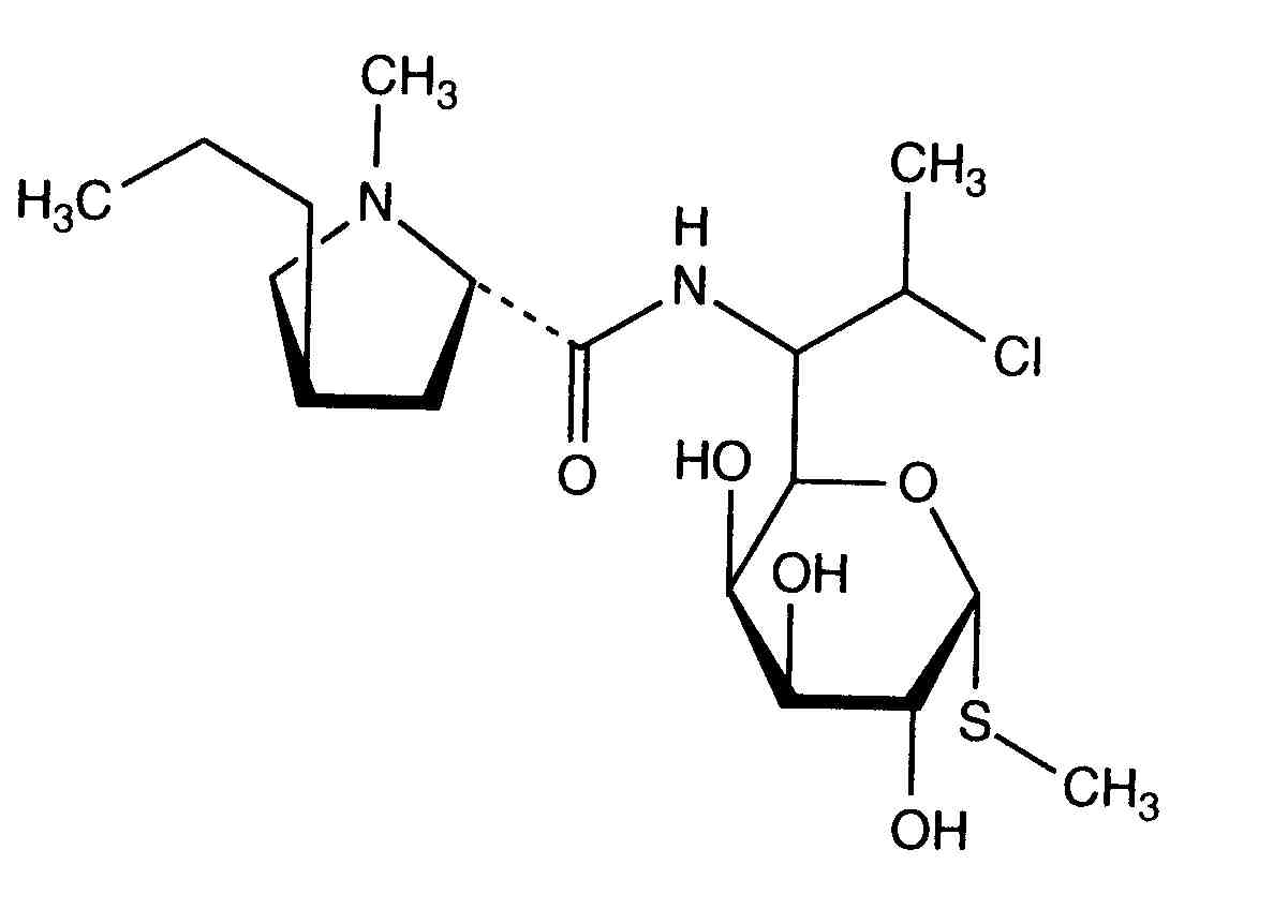
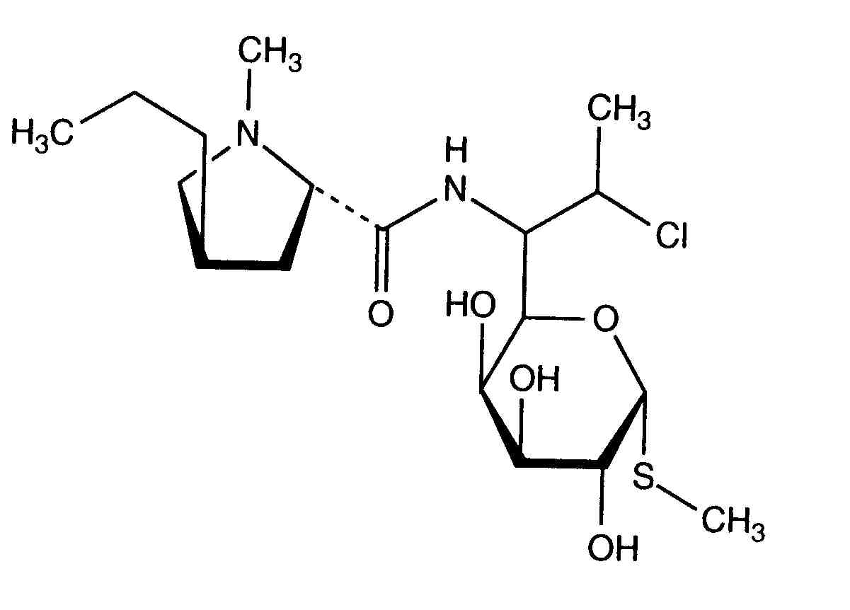
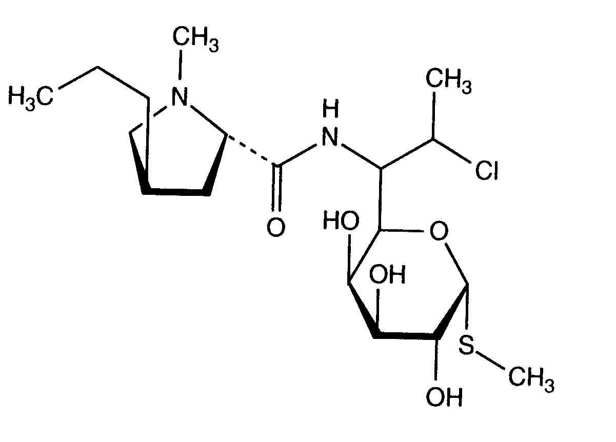
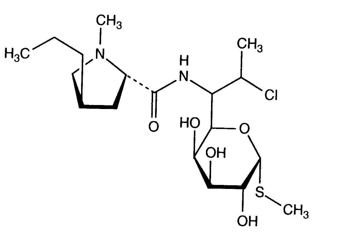
Clindamycine hydrochloride
Molekylstruktur
Stabilitet i blandningar : Clindamycine hydrochloride
Ingen uppgift
Mentions Légales