zadnja posodobitev :
27/01/2026
Antibiotik   Clindamycine hydrochloride  
Peroralna raztopina
Stabilnost farmacevtskih preparatov Stabilnost mešanice Faktorji, ki vplivajo na stabilnost Kompatibilnost Viri pdf
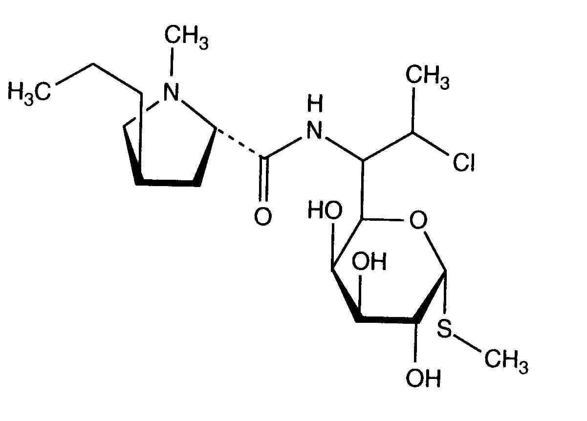
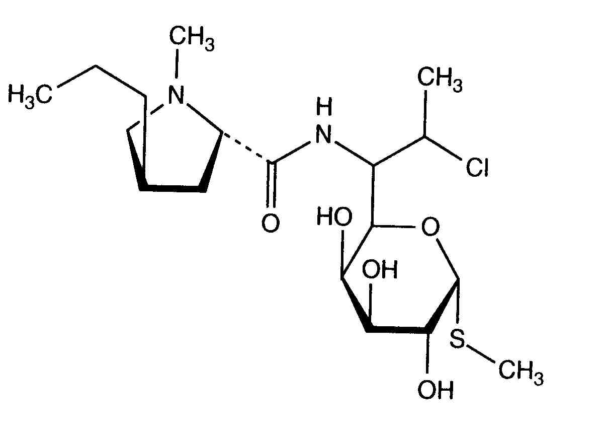
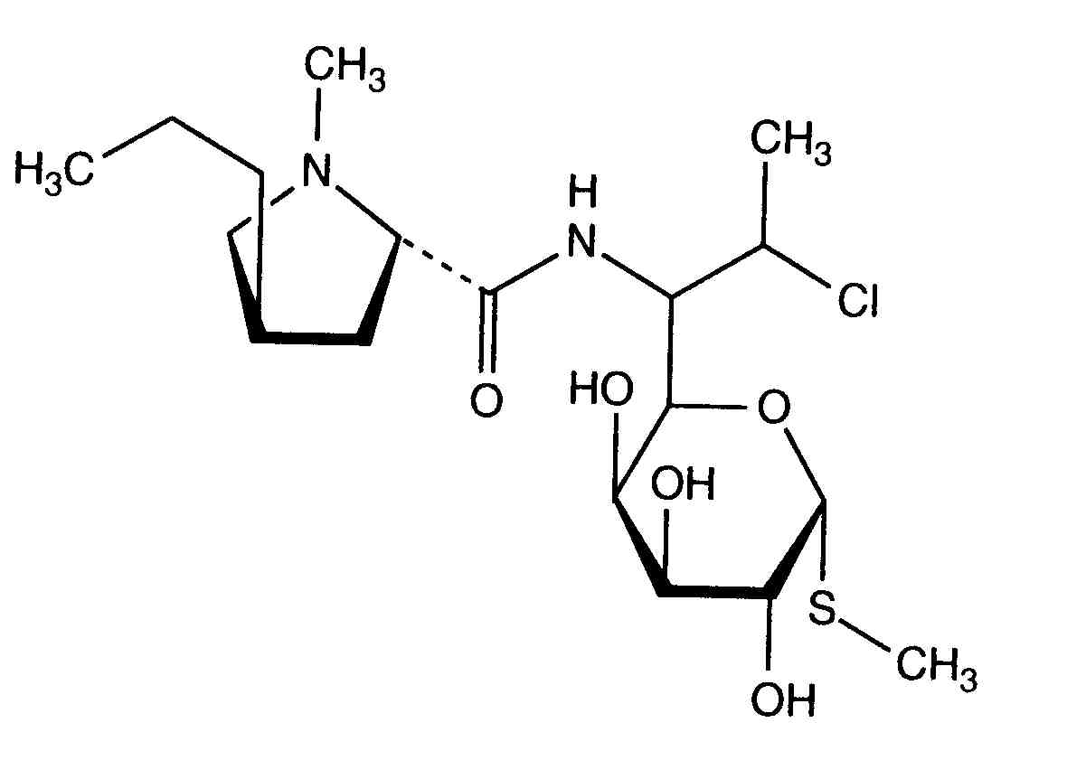
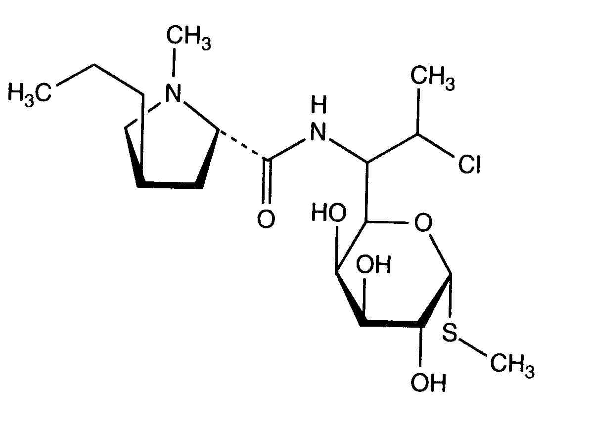
   Kemična formula  

Peroralna raztopina
Stabilnost mešanice   Peroralna raztopina   Stabilnost mešanice : Clindamycine hydrochloride     
ni podatka

  Mentions Légales