最新更新 :
27/01/2026
Infostab
薬剤一覧
まとめ一覧
互換性の検索
Yサイト対応表
引用文献
研究チーム
valistab
ポスター
接続
スポンサー
作成者
ユーザーガイド
ニュースレター
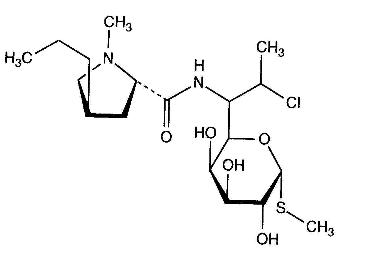
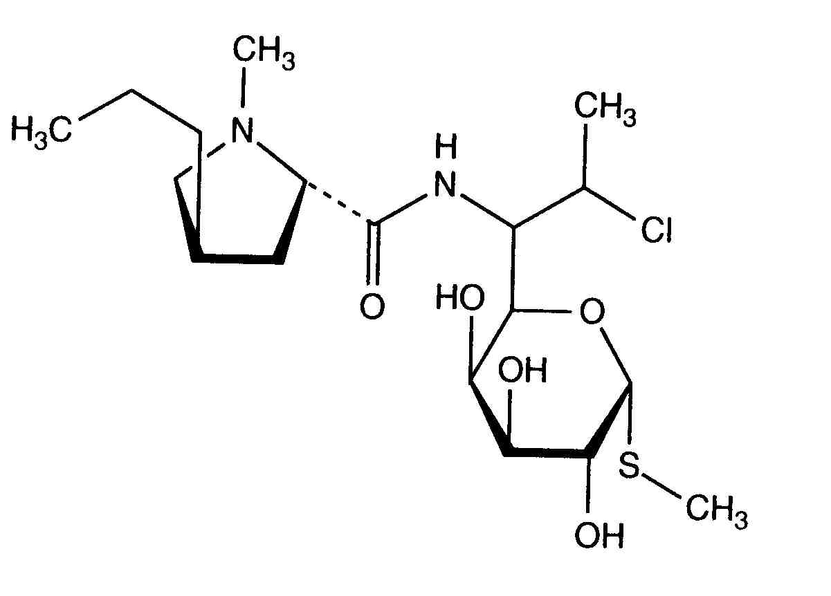
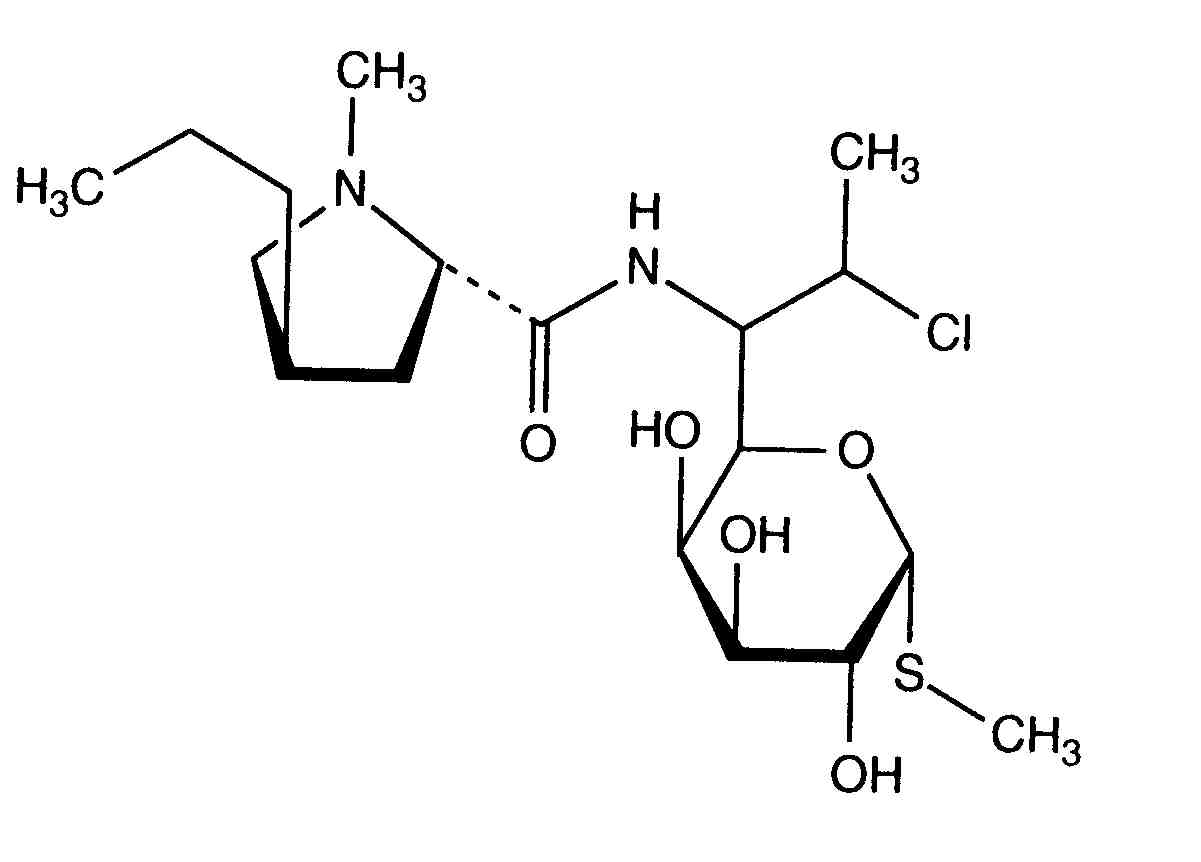
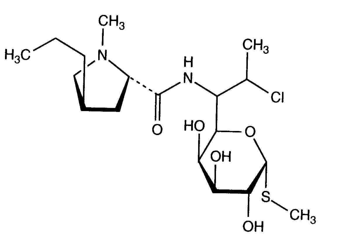
Clindamycine hydrochloride
化学構造
混合時の安定性 : Clindamycine hydrochloride
データなし
Mentions Légales