Pēdējā atjaunošana :
27/01/2026
Antibiotika   Clindamycine hydrochloride  
Orāls šķīdums
Stabilitāte farmaceitisko preparātu Maisījuma stabilitāte Stabilitāti ietekmējoši faktori Saderība Literatūras saraksts pdf
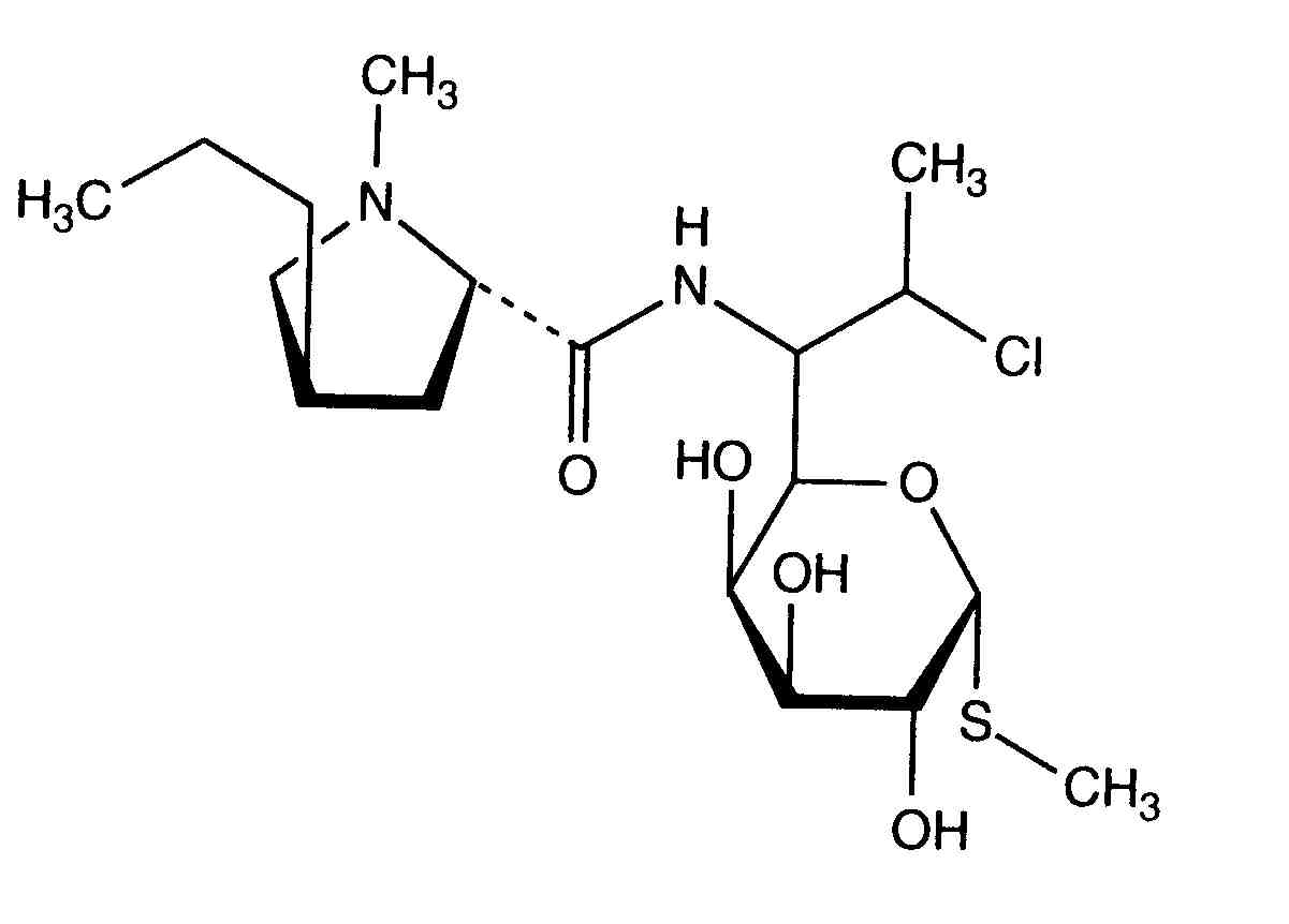
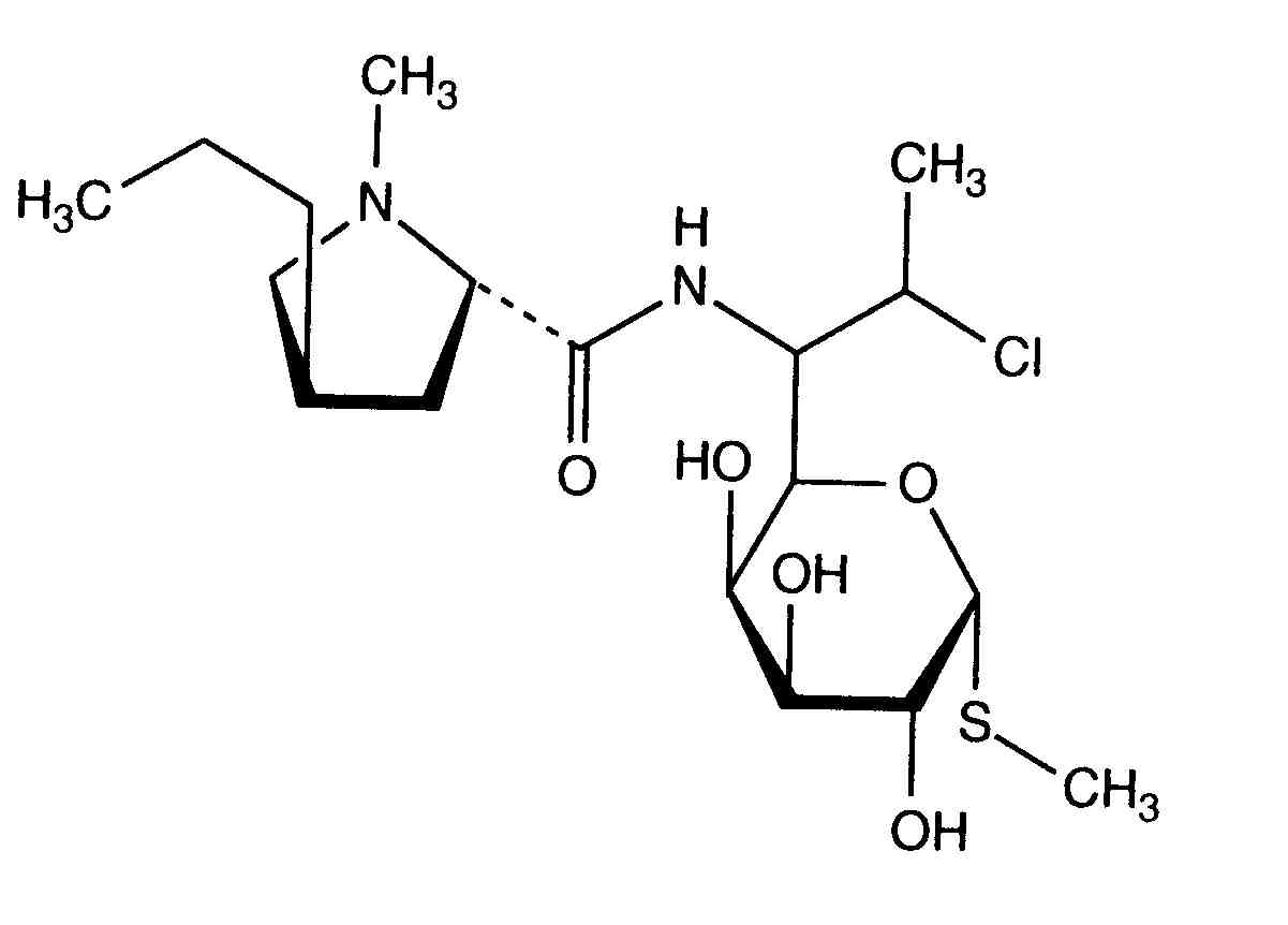
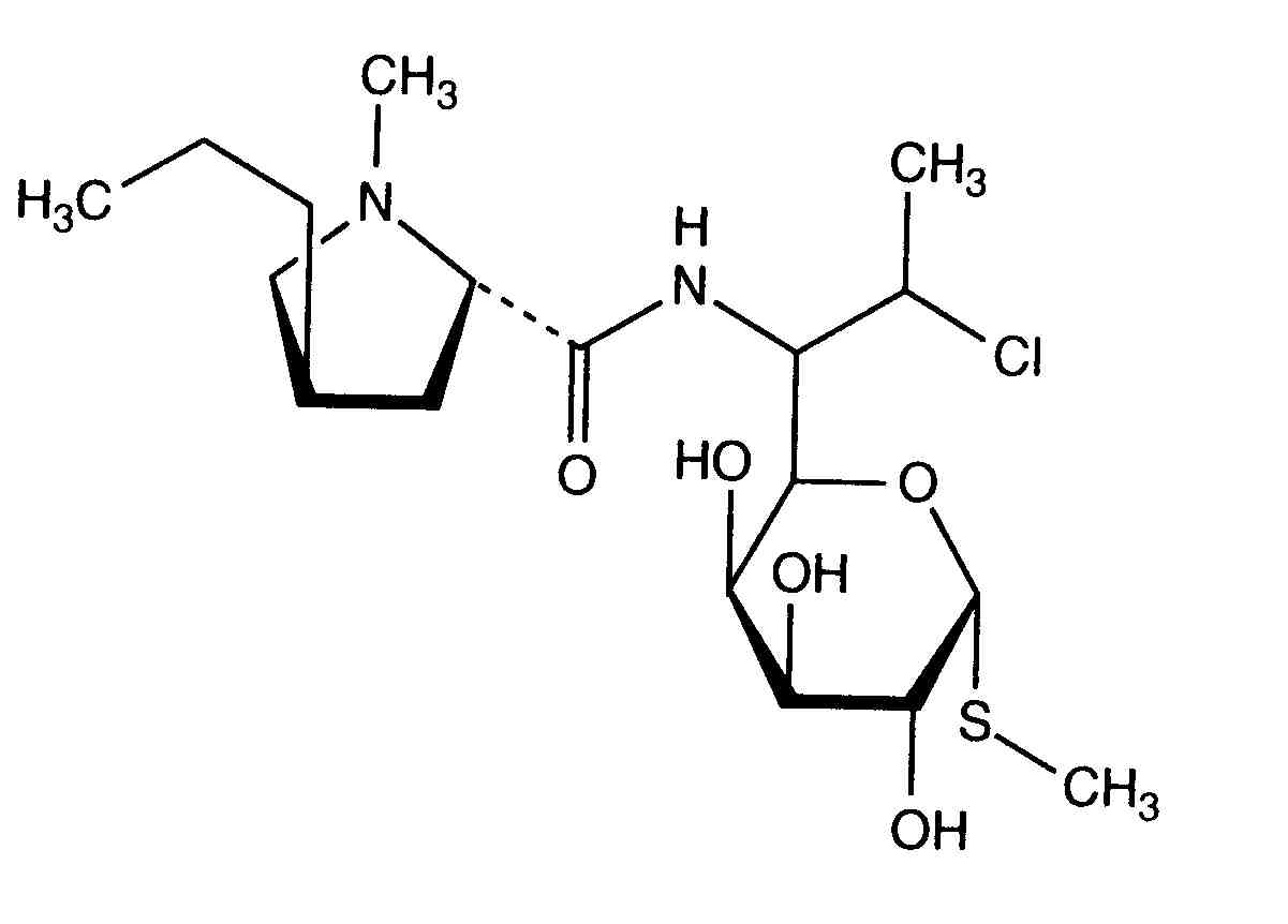
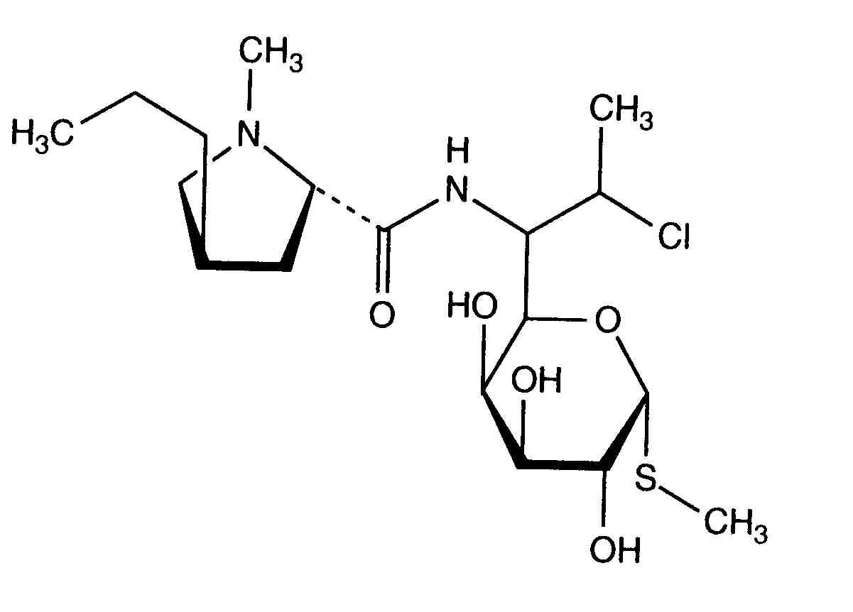
   Ķīmiskā uzbūve   

Orāls šķīdums
Maisījuma stabilitāte   Orāls šķīdums   Maisījuma stabilitāte : Clindamycine hydrochloride     
Nav datu

  Mentions Légales