viimane versioon :
27/01/2026
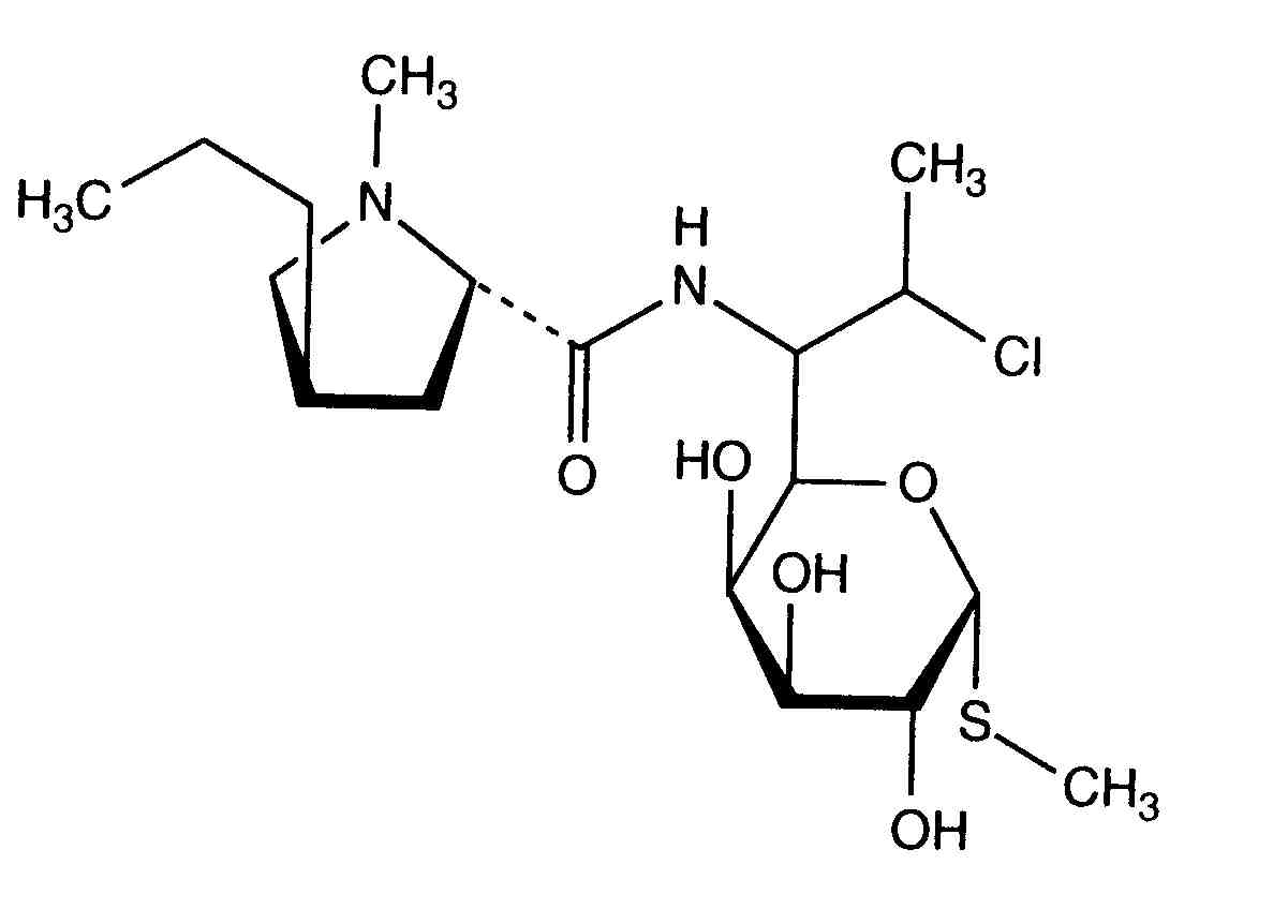
antibiootikum   Clindamycine hydrochloride  
suukaudne lahus
Stabiilsust ravimpreparaadid Stabiilsust mõjutavad tegurid stabiilsust mõjutavad faktorid Sobimatus Viited pdf
   keemiline struktuur  

suukaudne lahus
Stabiilsust mõjutavad tegurid   suukaudne lahus   Stabiilsust mõjutavad tegurid : Clindamycine hydrochloride     
andmed puuduvad

  Mentions Légales