Ultimo aggiornamento :
27/01/2026
Antibiotico   Clindamycine hydrochloride  
Soluzione orale
Stabilità dei preparati farmaceutici Stabilità in miscela Fattori che influenzano la stabilità Compatibilità Bibliografia pdf
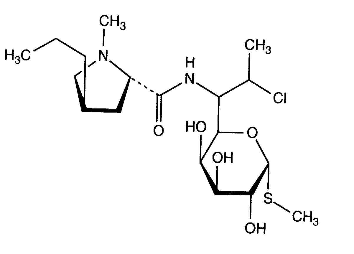
   Struttura chimica  

Soluzione orale
Stabilità in miscela   Soluzione orale   Stabilità in miscela : Clindamycine hydrochloride     
Assenza di dati

  Mentions Légales