最新更新 :
27/04/2026
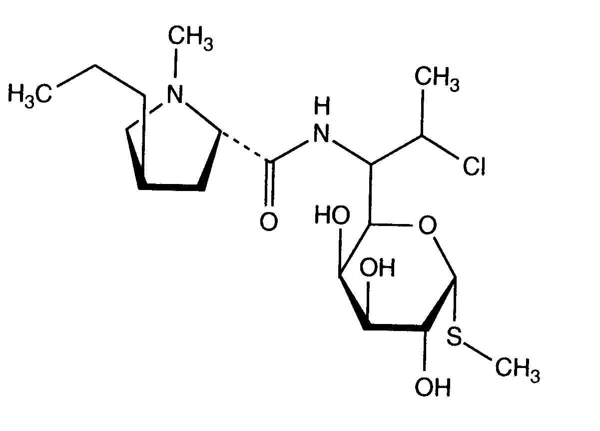
抗菌薬   Clindamycine hydrochloride  
経口液
調剤時の安定性 混合時の安定性 安定性に影響する因子 互換性 引用文献 PDF
   化学構造  

経口液
互換性   経口液   互換性 : Clindamycine hydrochloride              
データなし

  Mentions Légales