Poslední aktualizace :
27/04/2026
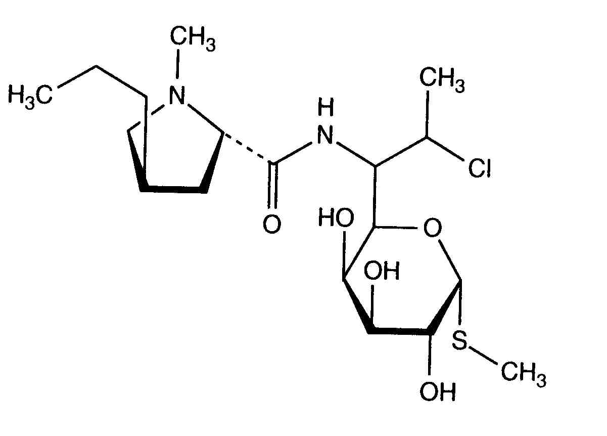
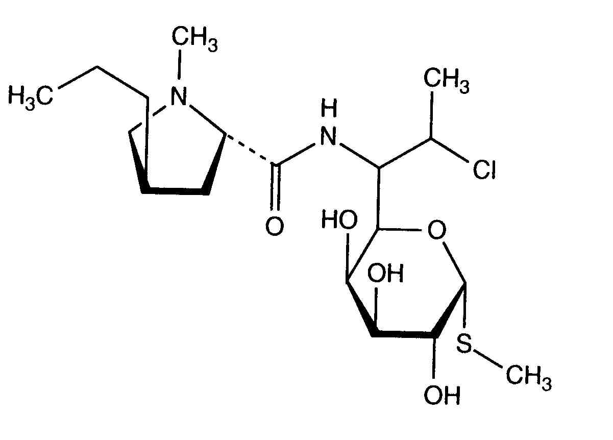
Antibiotikum   Clindamycine hydrochloride  
Perorální roztok
Stabilita farmaceutických přípravků Stabilita směsí Faktory ovlivňující stabilitu Kompatibilita Odkazy pdf
   Chemický vzorec  

Perorální roztok
Kompatibilita   Perorální roztok   Kompatibilita : Clindamycine hydrochloride              
žádná data

  Mentions Légales