Utolsó frissítés :
27/04/2026
Antibiotikum   Clindamycine hydrochloride  
belsőleges oldat
Stabilitása gyógyszerészeti készítmények A keverékek stabilitása Stabilitást befolyásoló tényezők Kompatibilitás Irodalom pdf
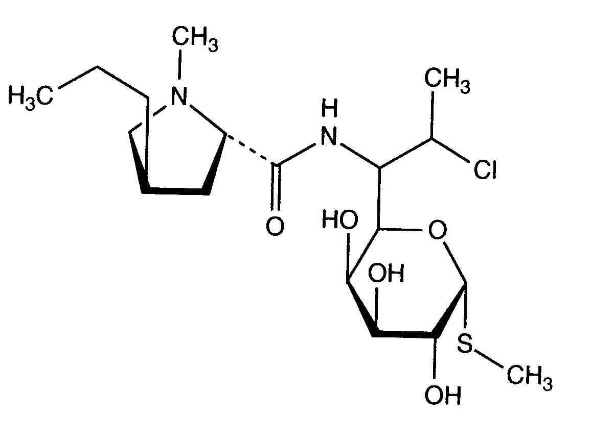
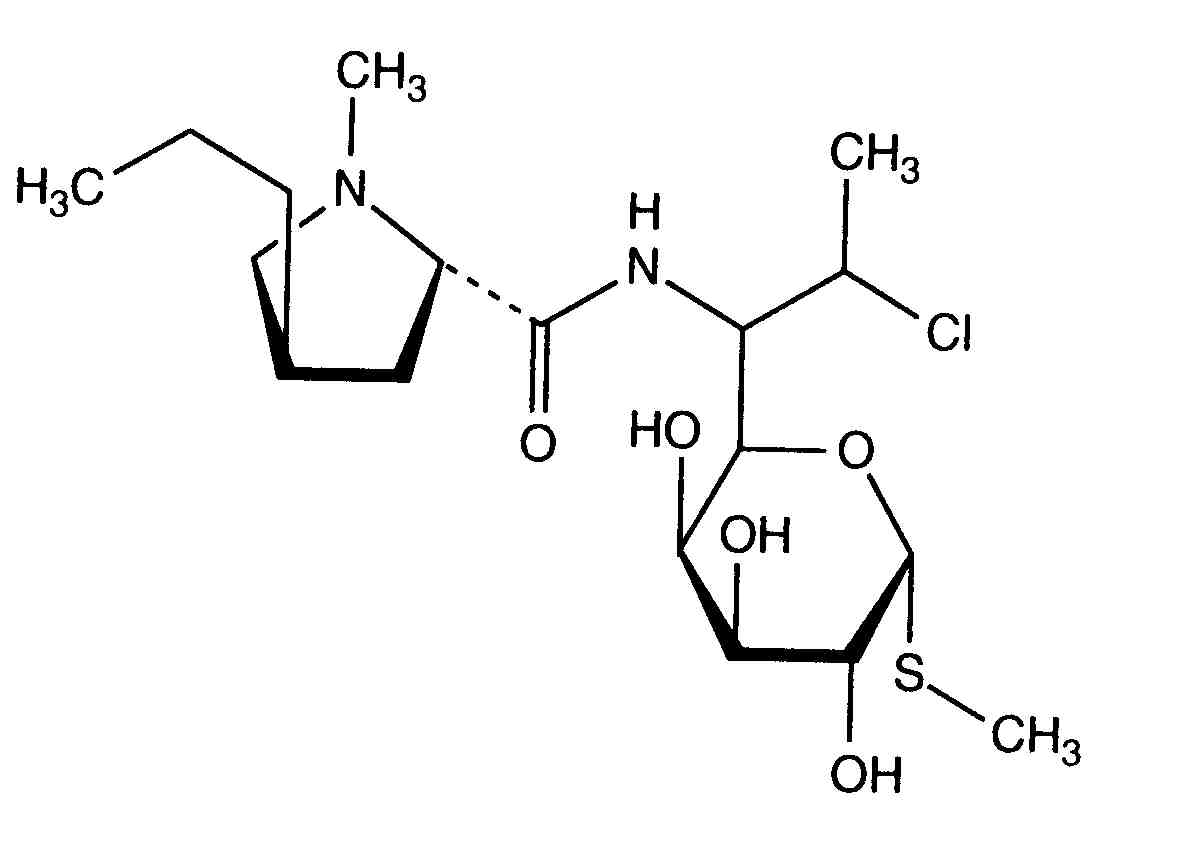
   Kémiai szerkezet   

belsőleges oldat
Kompatibilitás   belsőleges oldat   Kompatibilitás : Clindamycine hydrochloride              
Hiányzó adat

  Mentions Légales