Letztes “update” :
27/04/2026
Antibiotikum   Clindamycine hydrochloride  
Lösung zum Einnehmen
Stabilität von pharmazeutischen Präparaten Gemengestabilität Stabilitätbeeinflussende Faktoren Kompatibilitäten Literaturverzeichnis pdf
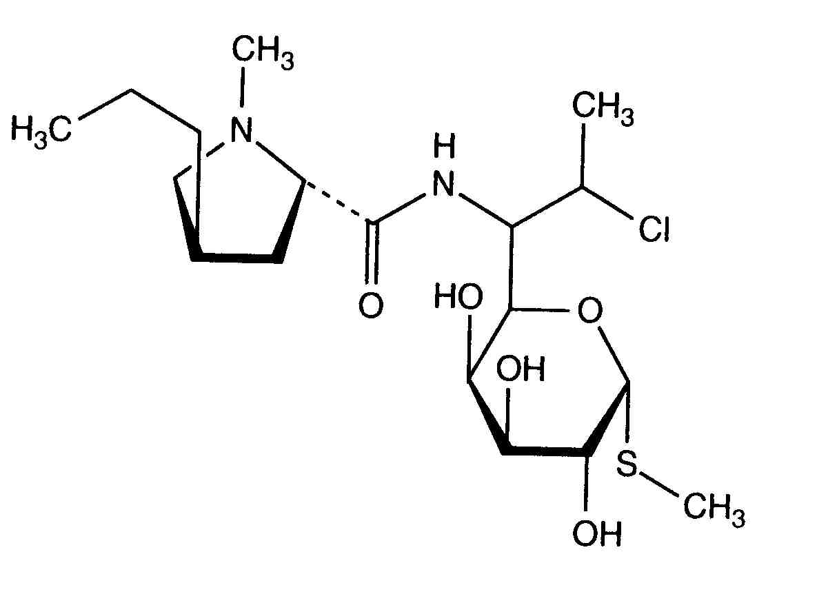
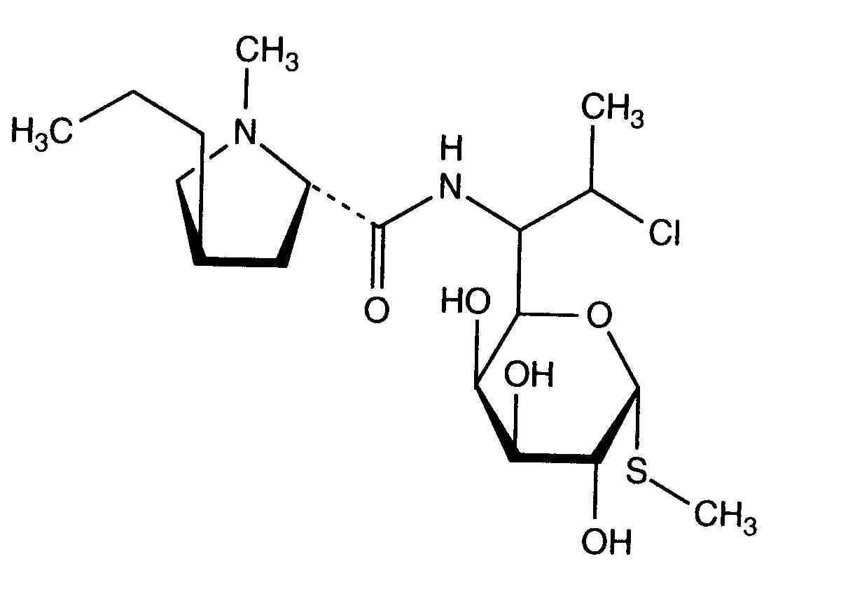
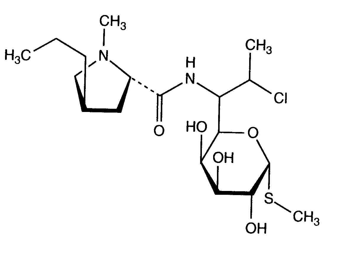
   Chemische Struktur  

Lösung zum Einnehmen
Kompatibilitäten   Lösung zum Einnehmen   Kompatibilitäten : Clindamycine hydrochloride              
Keine Daten

  Mentions Légales