Last update :
27/04/2026
Antibiotic   Clindamycine hydrochloride  
Oral solution
Stability of pharmaceutical preparations Stability of mixtures Factors which affect stability Compatibility References pdf
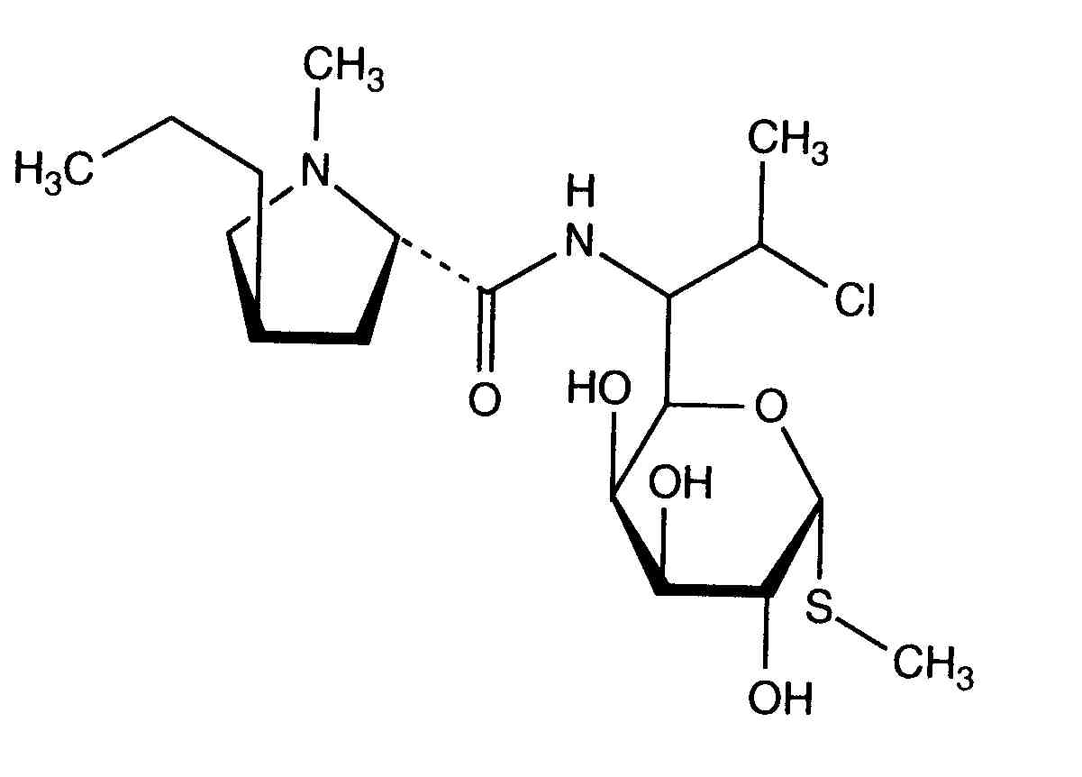
   Chemical structure  

Oral solution
Compatibility   Oral solution   Compatibility : Clindamycine hydrochloride              
No data

  Mentions Légales