Seneste opdatering :
27/04/2026
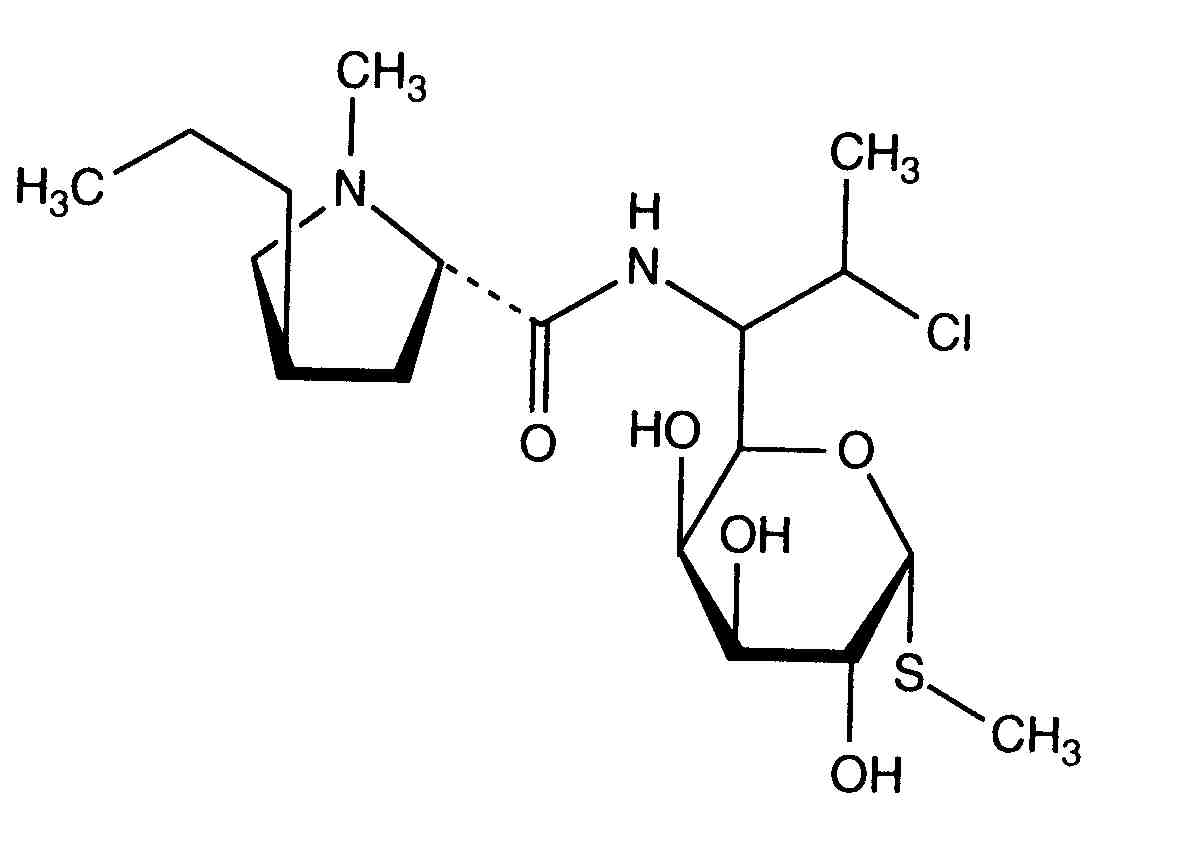
Antibiotisk   Clindamycine hydrochloride  
Oral opløsning
Stabilitet af farmaceutiske tilberedninger Stabilitet i blandinger Faktorer der påvirker stabiliteten Kompatibilitet Bibliografi pdf
   Kemisk struktur  

Oral opløsning
Kompatibilitet   Oral opløsning   Kompatibilitet : Clindamycine hydrochloride              
Ingen data

  Mentions Légales