Останнє оновлення :
27/04/2026
Антибіотик   Tobramycin sulfate  
аерозоль
ін'єкція Очні краплі Розчин для перорального застосування
Стабільність фармацевтичних препаратів Стійкість сумішей Фактори, що впливають на стабільність Сумісність Список літератури pdf
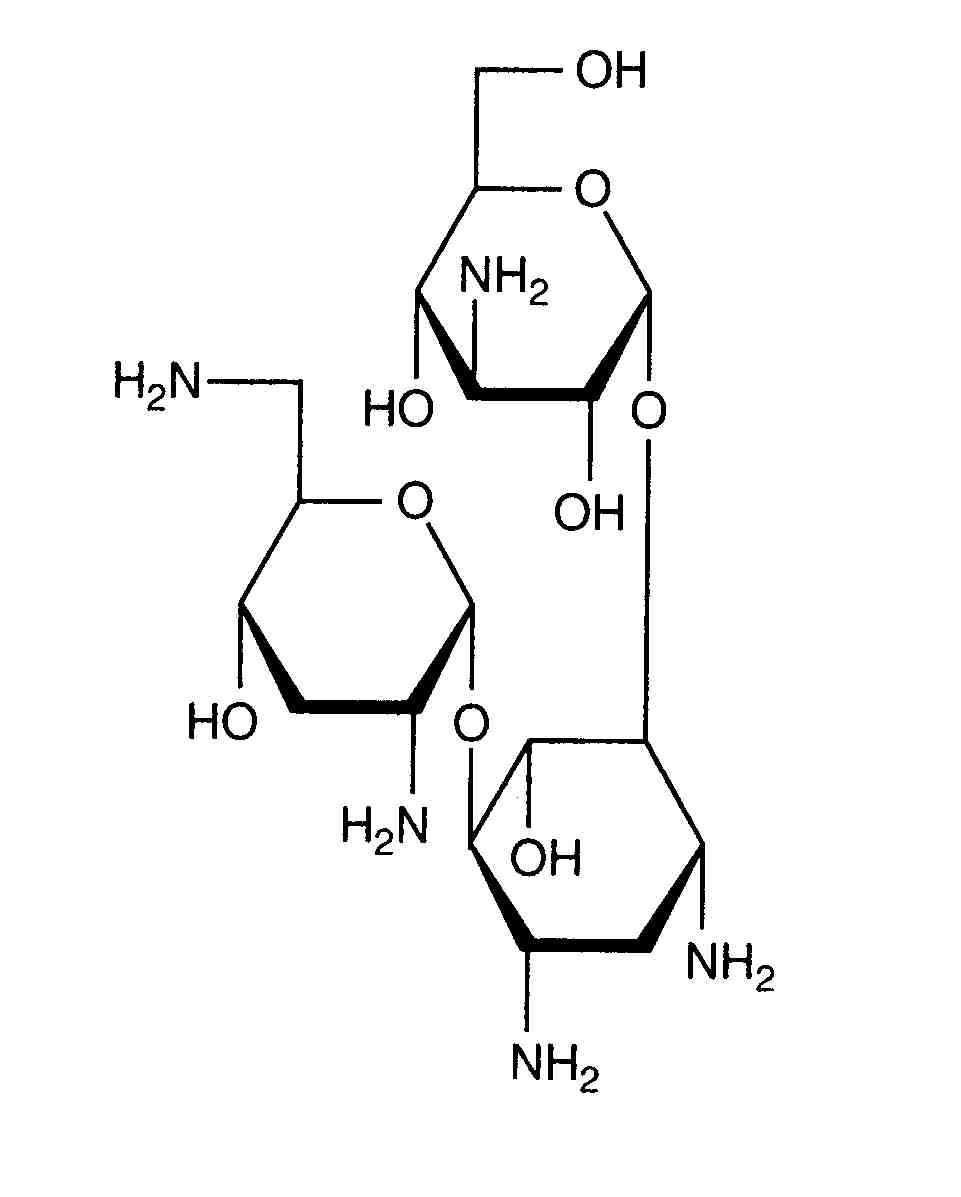
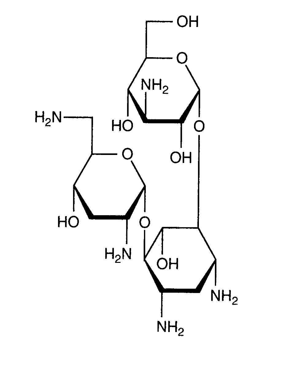
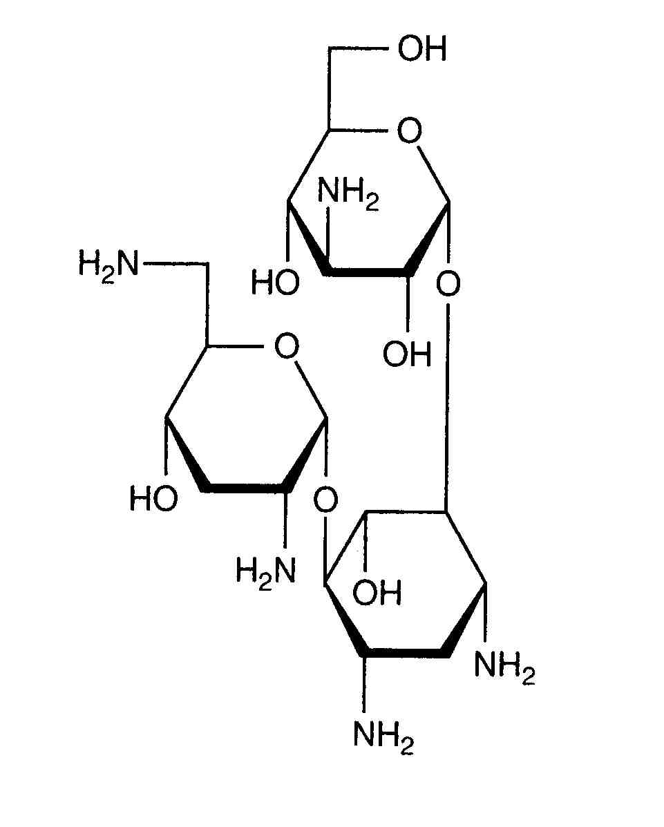
   Хімічна структура  

аерозоль
Список літератури   аерозоль   Список літератури : Tobramycin sulfate  
Тип Публікація
2960 журнал Gooch MD.
Stability of albuterol and tobramycin when mixed for aerosol administration.
Respiratory Care 1991 ; 36: 1387-1390.
3431 журнал Law S.
Stability of preservative-free tobramycin in half-normal saline.
Can J Hosp Pharm 2001 ; 54, 3: 214-215.
3440 журнал Wollstadt A, Krämer I, Kamin W.
Physicochemical compatibility of nebulizable drug admixtures containing colistimethate and tobramycin.
Pharmazie 2013 ; 68: 744-748.
3472 журнал Krämer I, Schwabe A, Kamin W.
Physikalisch-chemische kompatilibität von Mischinhalationslösungen und suspensionen zur simultanen feuchtinhalationstherapie bei Mukoviszidose Patienten.
Krankenhauspharmazie 2007 ; 28, 5: 170-178.

  Mentions Légales