Ultimele actualizari :
27/04/2026
Infostab
Listele
Listele
Cercetări de compatibilitate
Tabel de compatibilitate Y-site
Bibliografie
Echipe de cercetare
valistab
poster
Conexiuni
sponsori
Autor
Mod de utilizare
Newsletter
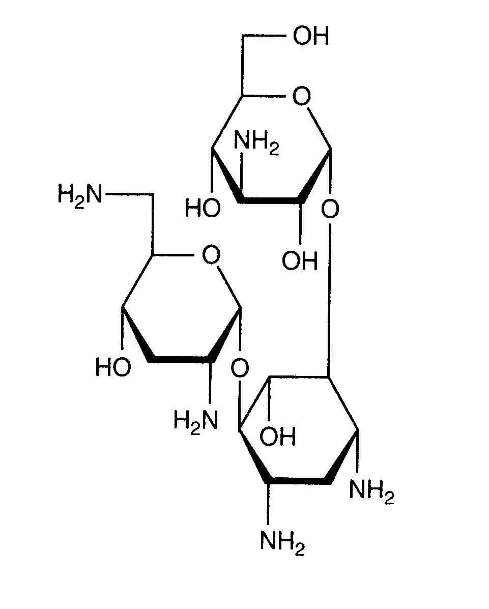
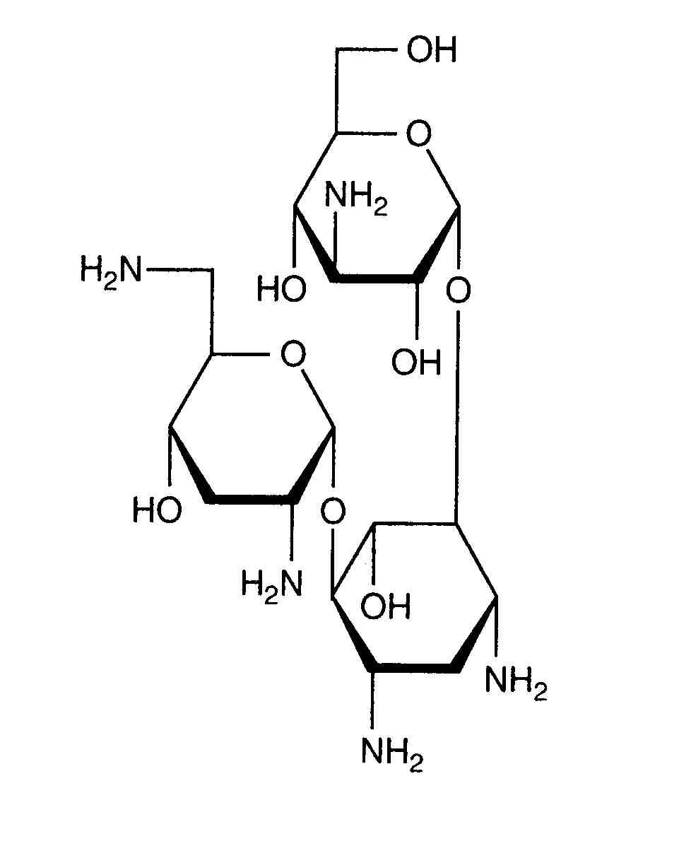
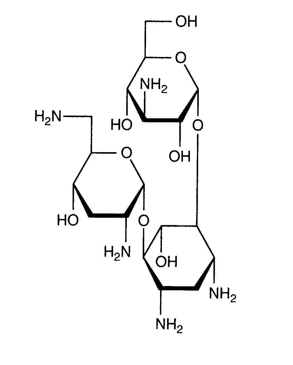
Tobramycin sulfate
Formula chimica
Bibliografie : Tobramycin sulfate
tip
publicare
2960
ziar
Gooch MD.
Stability of albuterol and tobramycin when mixed for aerosol administration.
Respiratory Care 1991 ; 36: 1387-1390.
3431
ziar
Law S.
Stability of preservative-free tobramycin in half-normal saline.
Can J Hosp Pharm 2001 ; 54, 3: 214-215.
3440
ziar
Wollstadt A, Krämer I, Kamin W.
Physicochemical compatibility of nebulizable drug admixtures containing colistimethate and tobramycin.
Pharmazie 2013 ; 68: 744-748.
3472
ziar
Krämer I, Schwabe A, Kamin W.
Physikalisch-chemische kompatilibität von Mischinhalationslösungen und suspensionen zur simultanen feuchtinhalationstherapie bei Mukoviszidose Patienten.
Krankenhauspharmazie 2007 ; 28, 5: 170-178.
Mentions Légales