Zadnji put ažurirano :
27/04/2026
antibiotik   Tobramycin sulfate  
aerosol
injekcija kapi za oko oralna otopina
Stabilnost farmaceutskih pripravaka Stabilnost mješavine Stabilizacijski faktor Kompatibilnosti Bibliografija pdf
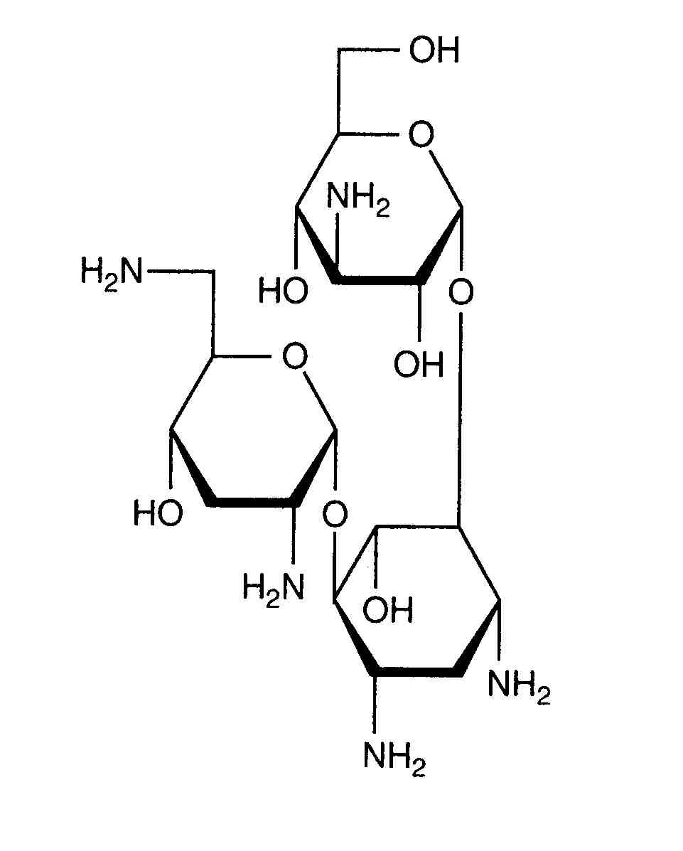
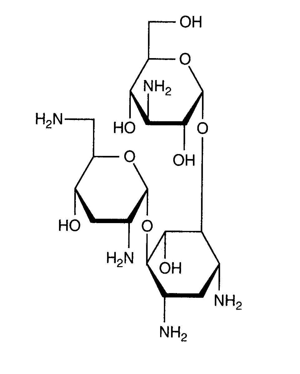
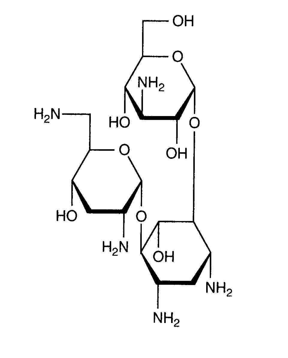
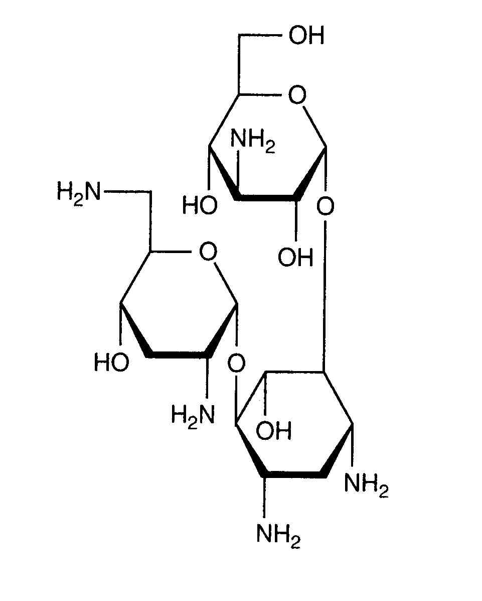
   Kemijska struktura  

aerosol
Bibliografija   aerosol   Bibliografija : Tobramycin sulfate  
Vrsta Publikacija
2960 Časopis Gooch MD.
Stability of albuterol and tobramycin when mixed for aerosol administration.
Respiratory Care 1991 ; 36: 1387-1390.
3431 Časopis Law S.
Stability of preservative-free tobramycin in half-normal saline.
Can J Hosp Pharm 2001 ; 54, 3: 214-215.
3440 Časopis Wollstadt A, Krämer I, Kamin W.
Physicochemical compatibility of nebulizable drug admixtures containing colistimethate and tobramycin.
Pharmazie 2013 ; 68: 744-748.
3472 Časopis Krämer I, Schwabe A, Kamin W.
Physikalisch-chemische kompatilibität von Mischinhalationslösungen und suspensionen zur simultanen feuchtinhalationstherapie bei Mukoviszidose Patienten.
Krankenhauspharmazie 2007 ; 28, 5: 170-178.

  Mentions Légales