Cập nhật lần cuối :
21/01/2026
Thuốc điều trị kí sinh trùng   Artesunate  
Thuốc đạn
Dạng tiêm
Tính ổn định của các chế phẩm Độ ổn định khi trộn lẫn Những yếu tố ảnh hưởng đến độ ổn định Khả năng tương thích Tài liệu tham khảo Pdf
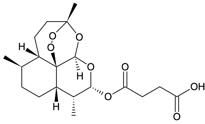
   Cấu trúc hóa học  

Thuốc đạn
Tính ổn định của các chế phẩm   Thuốc đạn   Tính ổn định của các chế phẩm : Artesunate     
Bao bì Nguyên bản Tá dược Nhiệt độ Bảo quản Thời gian ổn định Mục lục
Thủy tinh Bột 5 g
Artesunate
Carbopol® 974P 0.8 g
Ethanol 10 g
NaOH 5M 1.64 g
Nước tinh khiết 86.36 g
22°C Không rõ
3 Ngày
2655


  Mentions Légales