Last update :
05/12/2025
Antiparasitic   Artesunate  
suppository
injection
Stability of pharmaceutical preparations Stability of mixtures Factors which affect stability Compatibility References pdf
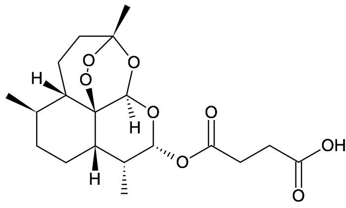
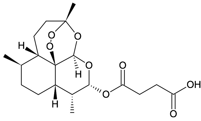
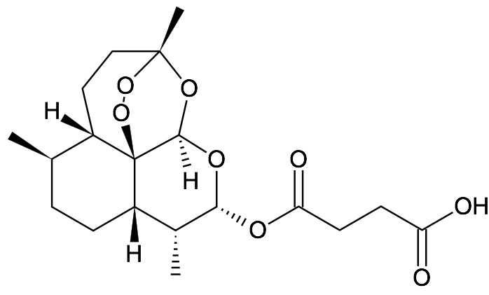
   Chemical structure  

suppository
Stability of pharmaceutical preparations   suppository   Stability of pharmaceutical preparations : Artesunate     
Container Origine excipient Temperature Storage Duration of stability References
Glass powder 5 g
Artesunate
Carbopol® 974P 0.8 g
Ethanol 10 g
NaOH 5M 1.64 g
Purified water 86.36 g
22°C Not specified
3 Day
2655


  Mentions Légales