آخر تحديث :
27/04/2026
مضاد للطفيليات   Artesunate  
تحميلة
حقن
استقرار المستحضرات الصيدلانية استقرار مخاليط العوامل التي تؤثر على الاستقرار التوافق مراجع pdf
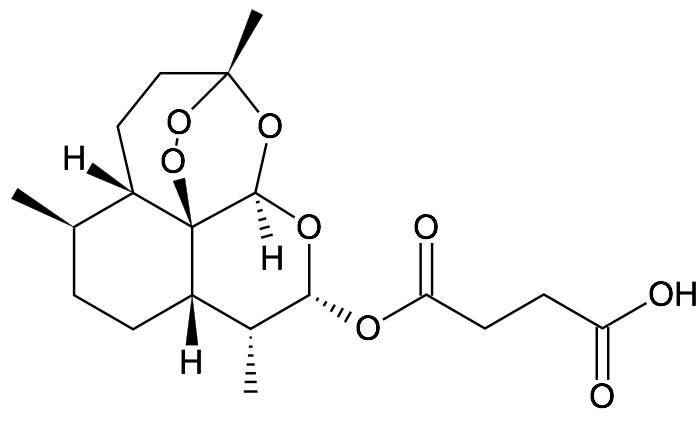
   التركيب الكيميائي  

تحميلة
استقرار المستحضرات الصيدلانية   تحميلة   استقرار المستحضرات الصيدلانية : Artesunate     
حاوية Origine الاضافات درجة الحرارة تخزين مدة الاستقرار مراجع
زجاج مسحوق 5 g
Artesunate
Carbopol® 974P 0.8 g
الإيثانول 10 g
هيدروكسيد الصوديوم 5M 1.64 g
تنقية المياه 86.36 g
22°C لم يتم تحديد
3 يوم
2655


  Mentions Légales