Posledná aktualizácia :
03/03/2026
antiparazitikum   Artesunate  
Čapík
Injekcia
Stabilita farmaceutických prípravkov Stabilita v zmesiach Faktory ovplyvňujúce stabilitu Kompatibility Odkazy na literatúru PDF
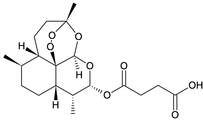
   Chemický vzorec  

Čapík
Stabilita farmaceutických prípravkov   Čapík   Stabilita farmaceutických prípravkov : Artesunate     
obal Pôvod Pomocná látka teplota uchovávanie Trvanie stability odkazy na lieteratúru
Sklo Prášok 5 g
Artesunate
Carbopol® 974P 0.8 g
Etanol 10 g
NaOH 5M 1.64 g
Čistená voda 86.36 g
22°C nešpecifikované
3 dní
2655


  Mentions Légales