zadnja posodobitev :
27/04/2026
Vitamin   Phytomenadione  
Peroralna raztopina
Brizgalka
Stabilnost farmacevtskih preparatov Stabilnost mešanice Faktorji, ki vplivajo na stabilnost Kompatibilnost Viri pdf
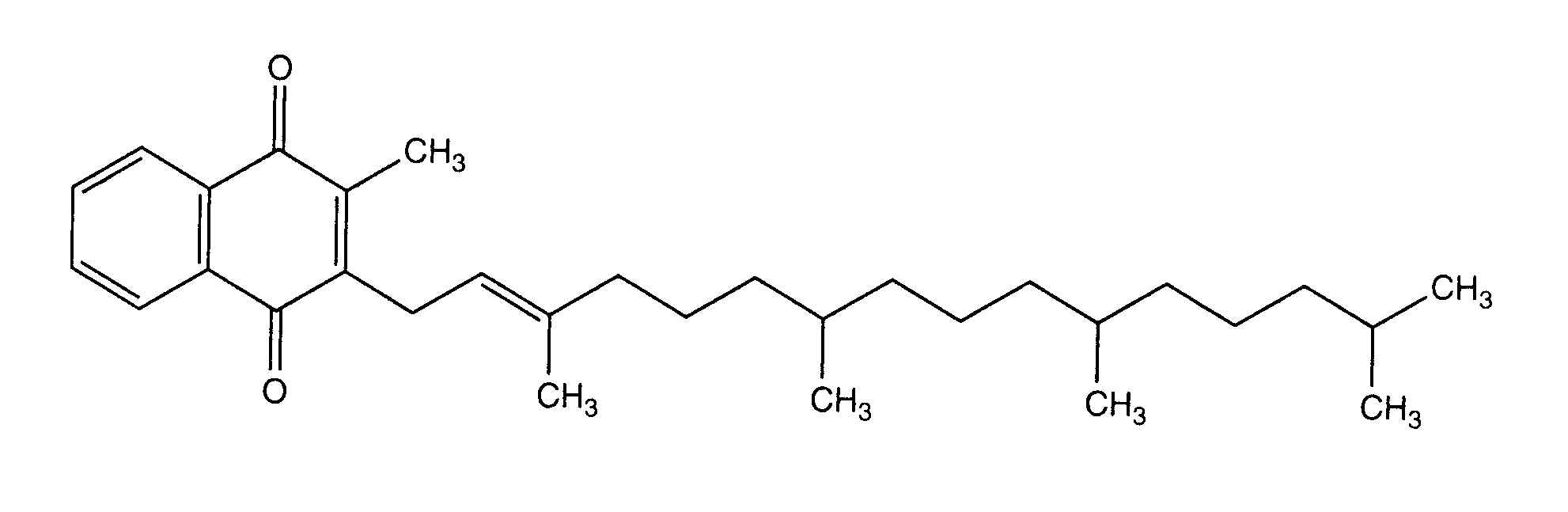
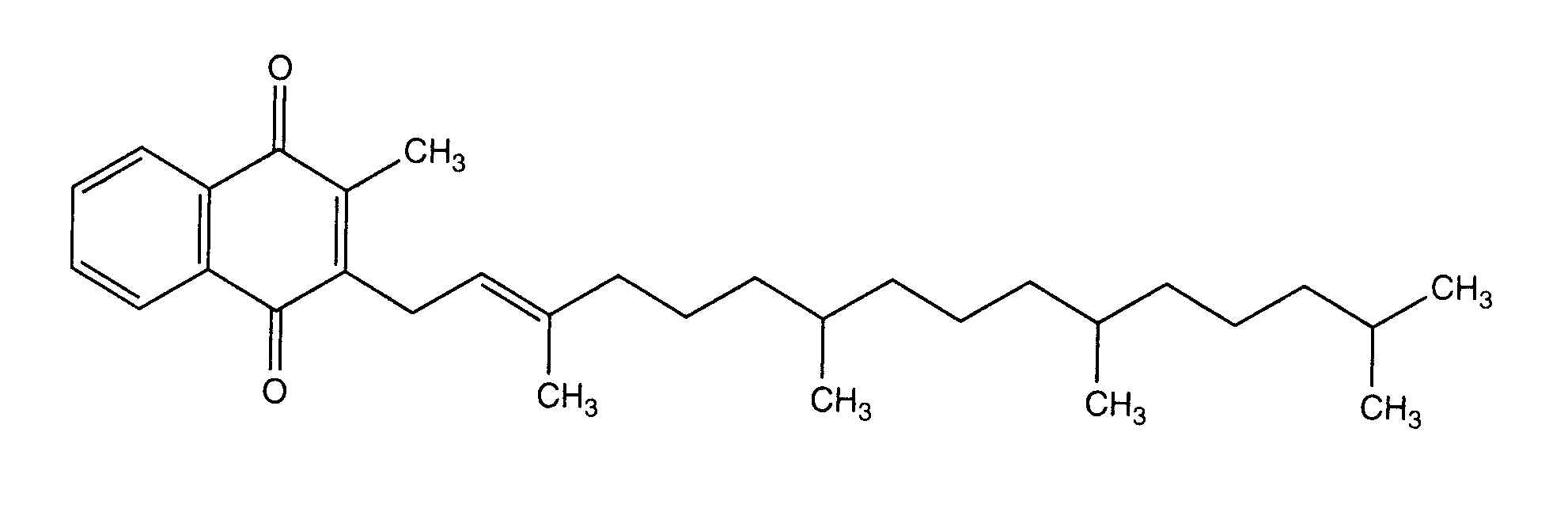
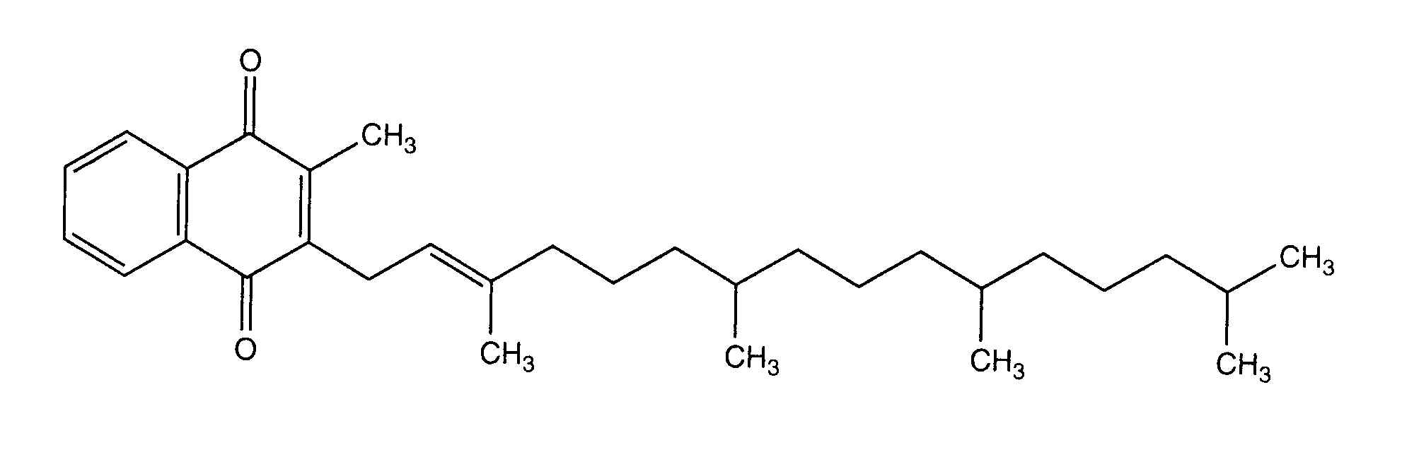
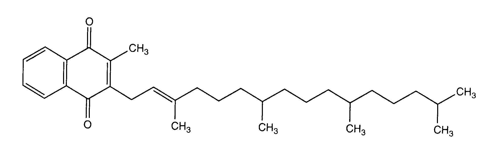
   Kemična formula  

Peroralna raztopina

Faktorji, ki vplivajo na stabilnost   Peroralna raztopina   Faktorji, ki vplivajo na stabilnost : Phytomenadione        
ni podatka

  Mentions Légales