Laatste update :
27/04/2026
Vitamine   Phytomenadione  
Orale Oplossing
injecteerbaar geneesmiddel
Stabiliteit van farmaceutische preparaten Stabiliteit in mengsels Factoren die de stabiliteit beïnvloeden Verenigbaarheden Literatuur pdf
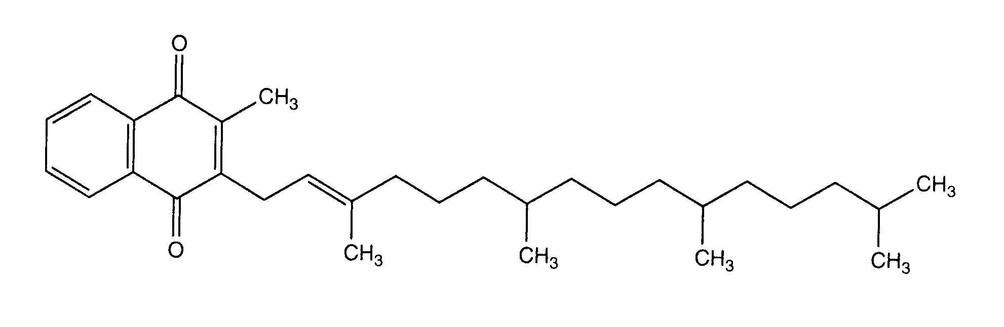
   Molecuulstructuur  

Orale Oplossing

Factoren die de stabiliteit beïnvloeden   Orale Oplossing   Factoren die de stabiliteit beïnvloeden : Phytomenadione        
geen gegevens

  Mentions Légales