Dernière mise à jour :
27/04/2026
Vitamine   Phytomenadione  
Solution buvable
injectable
Stabilité des préparations Stabilité en mélange Facteur influençant la stabilité Compatibilités Bibliographie pdf
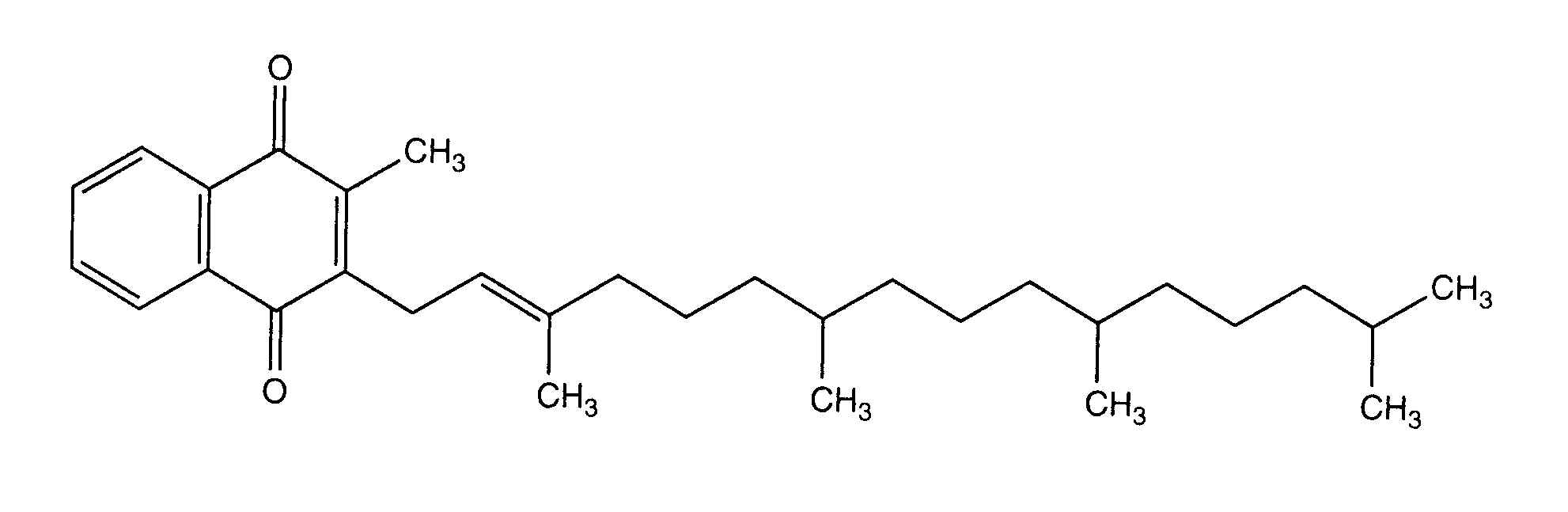
   Structure chimique  

Solution buvable

Facteur influençant la stabilité   Solution buvable   Facteur influençant la stabilité : Phytomenadione        
Aucune donnée

  Mentions Légales