Última actualização :
27/04/2026
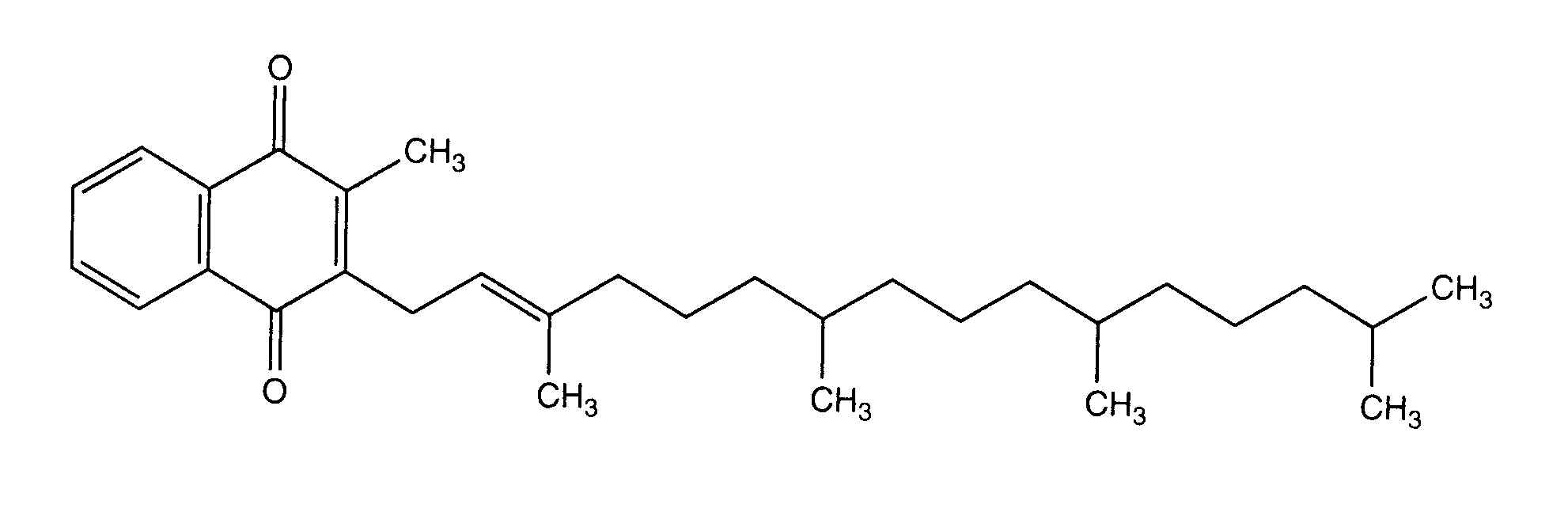
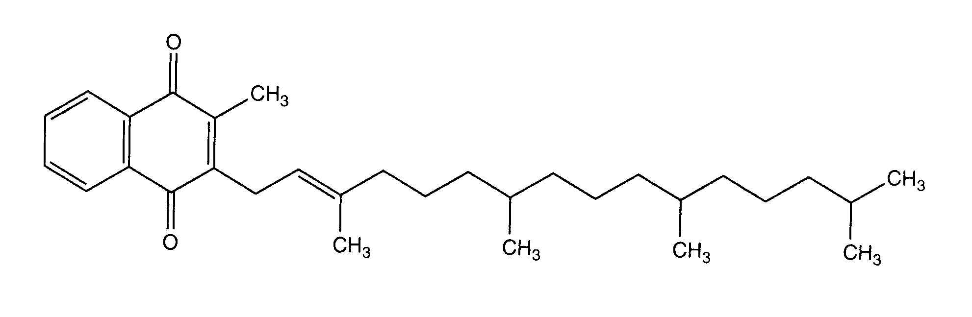
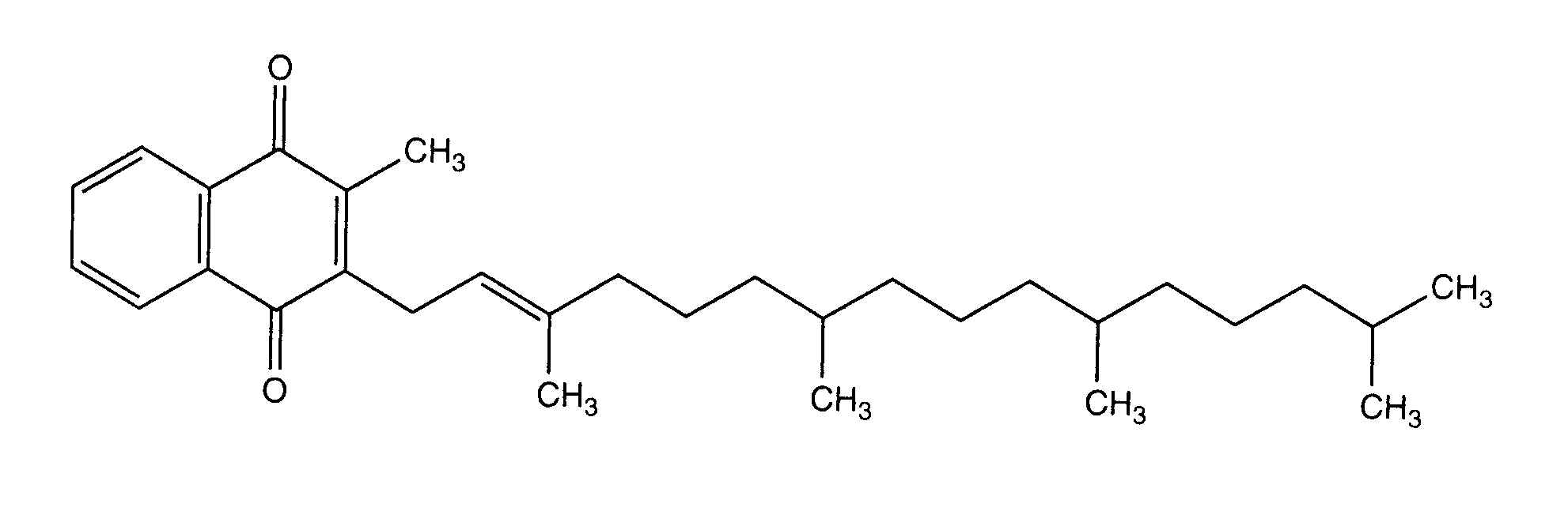
Vitamina   Phytomenadione  
Solução Oral
injetável
Estabilidade de preparações farmacêuticas Estabilidade em misturas Factores que afectam a sua estabilidade Compatibilidade Bibliografía pdf
   estrutura química  

Solução Oral

Factores que afectam a sua estabilidade   Solução Oral   Factores que afectam a sua estabilidade : Phytomenadione        
Ausência de dados

  Mentions Légales