Pēdējā atjaunošana :
27/04/2026
Vitamīns   Phytomenadione  
Orāls šķīdums
Injekcija
Stabilitāte farmaceitisko preparātu Maisījuma stabilitāte Stabilitāti ietekmējoši faktori Saderība Literatūras saraksts pdf
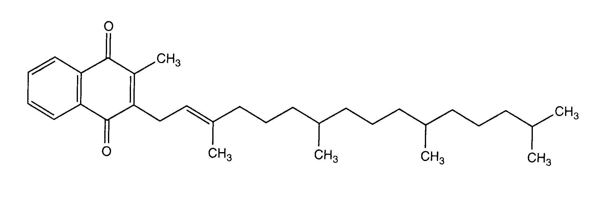
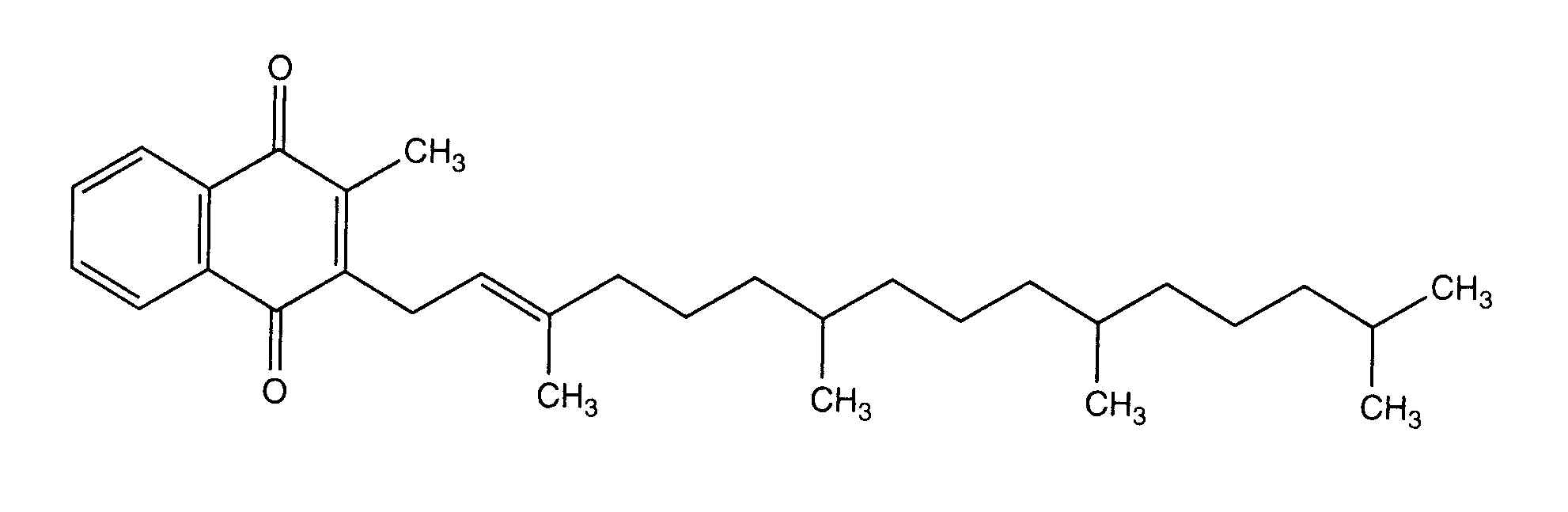
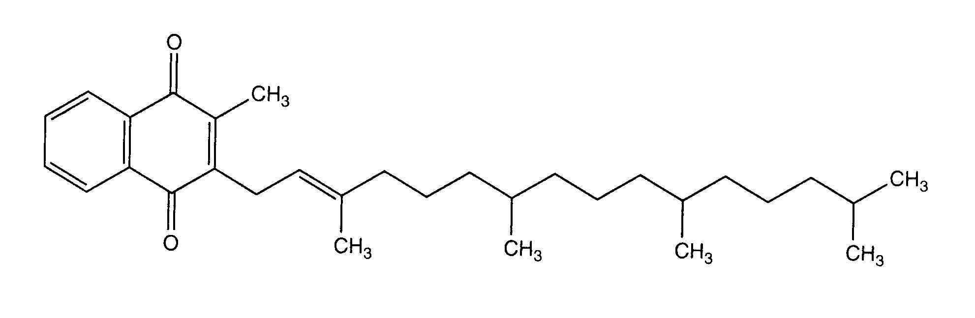
   Ķīmiskā uzbūve   

Orāls šķīdums

Stabilitāti ietekmējoši faktori   Orāls šķīdums   Stabilitāti ietekmējoši faktori : Phytomenadione        
Nav datu

  Mentions Légales