Останнє оновлення :
27/04/2026
Антибіотик   Netilmicin sulfate   
аерозоль
ін'єкція
Стабільність фармацевтичних препаратів Стійкість сумішей Фактори, що впливають на стабільність Сумісність Список літератури pdf
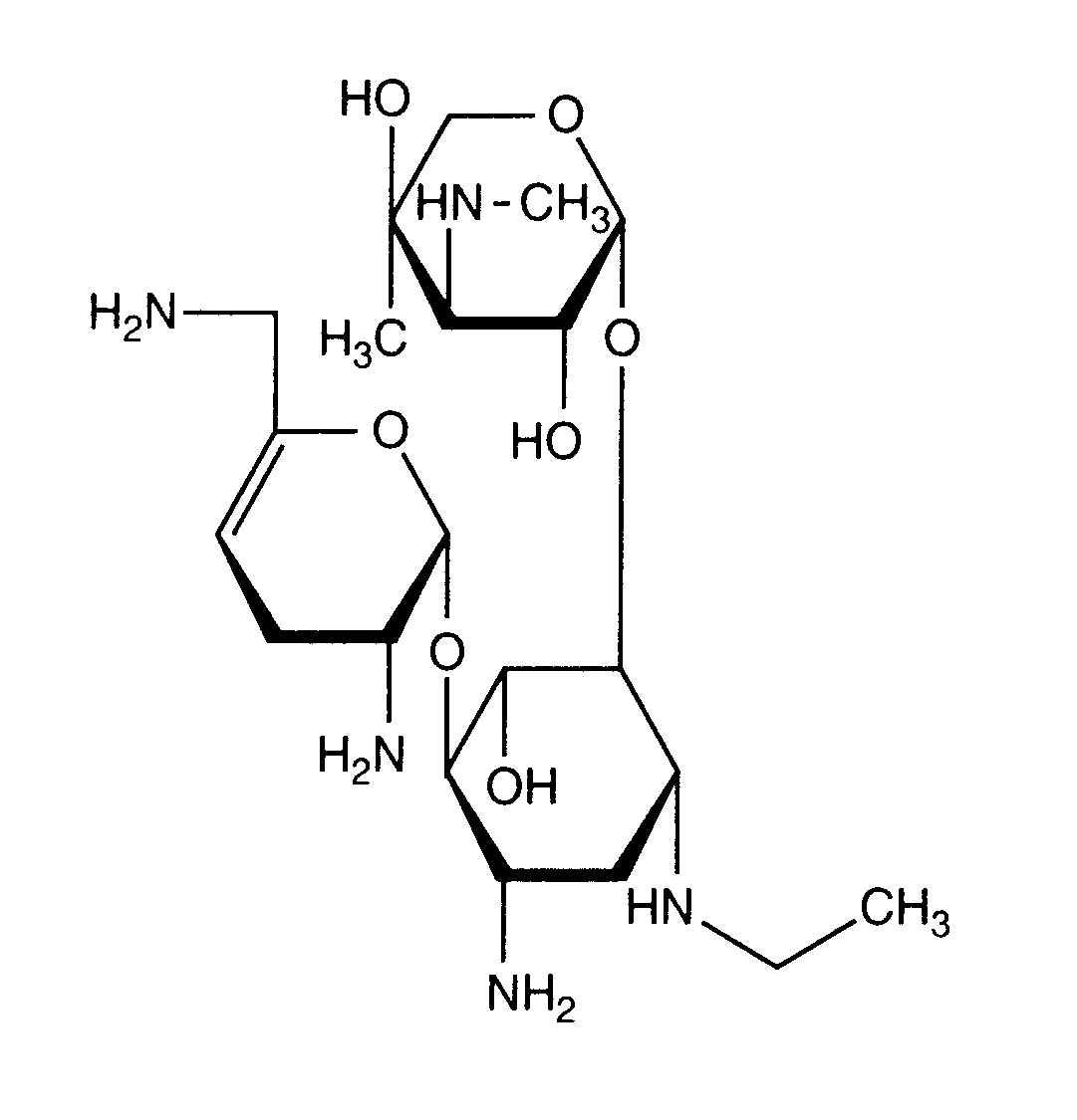
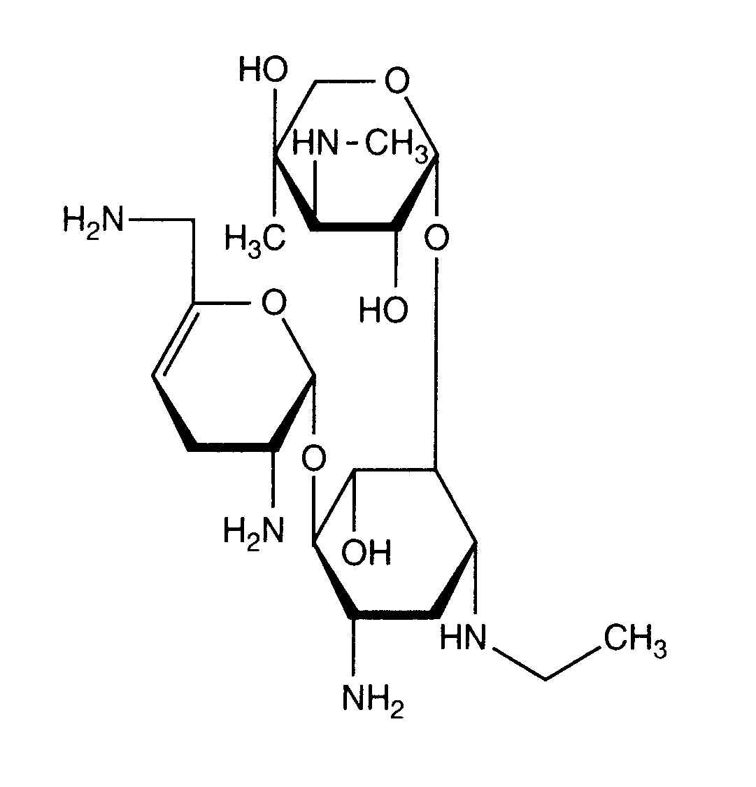
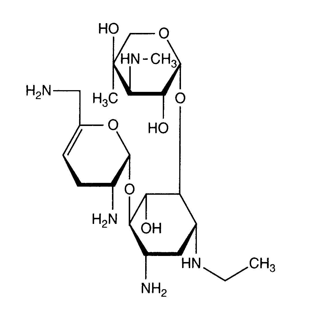
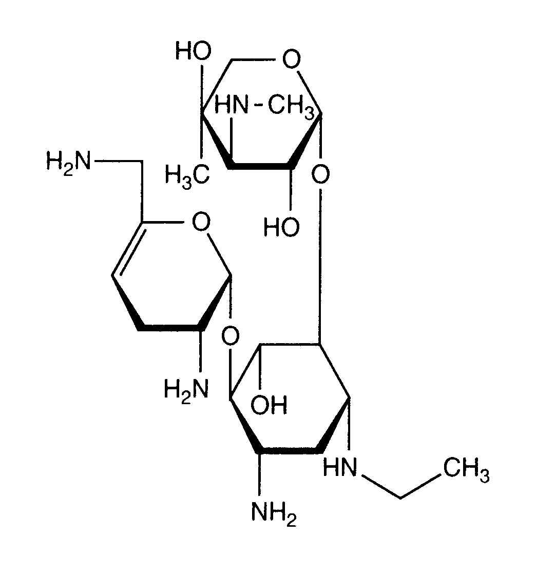
   Хімічна структура  

аерозоль
Список літератури   аерозоль   Список літератури : Netilmicin sulfate   
Тип Публікація
2648 журнал Rieutord A, Arnaud P, Dauphin JF, Brion F.
Stability and compatibility of an aerosol mixture including N-acetylcysteine, netilmicin and betamethasone
Int J Pharm 1999 ; 190, 1: 103-107.

  Mentions Légales