最新更新 :
27/04/2026
抗菌薬   Netilmicin sulfate   
エアロゾル
注射薬
調剤時の安定性 混合時の安定性 安定性に影響する因子 互換性 引用文献 PDF
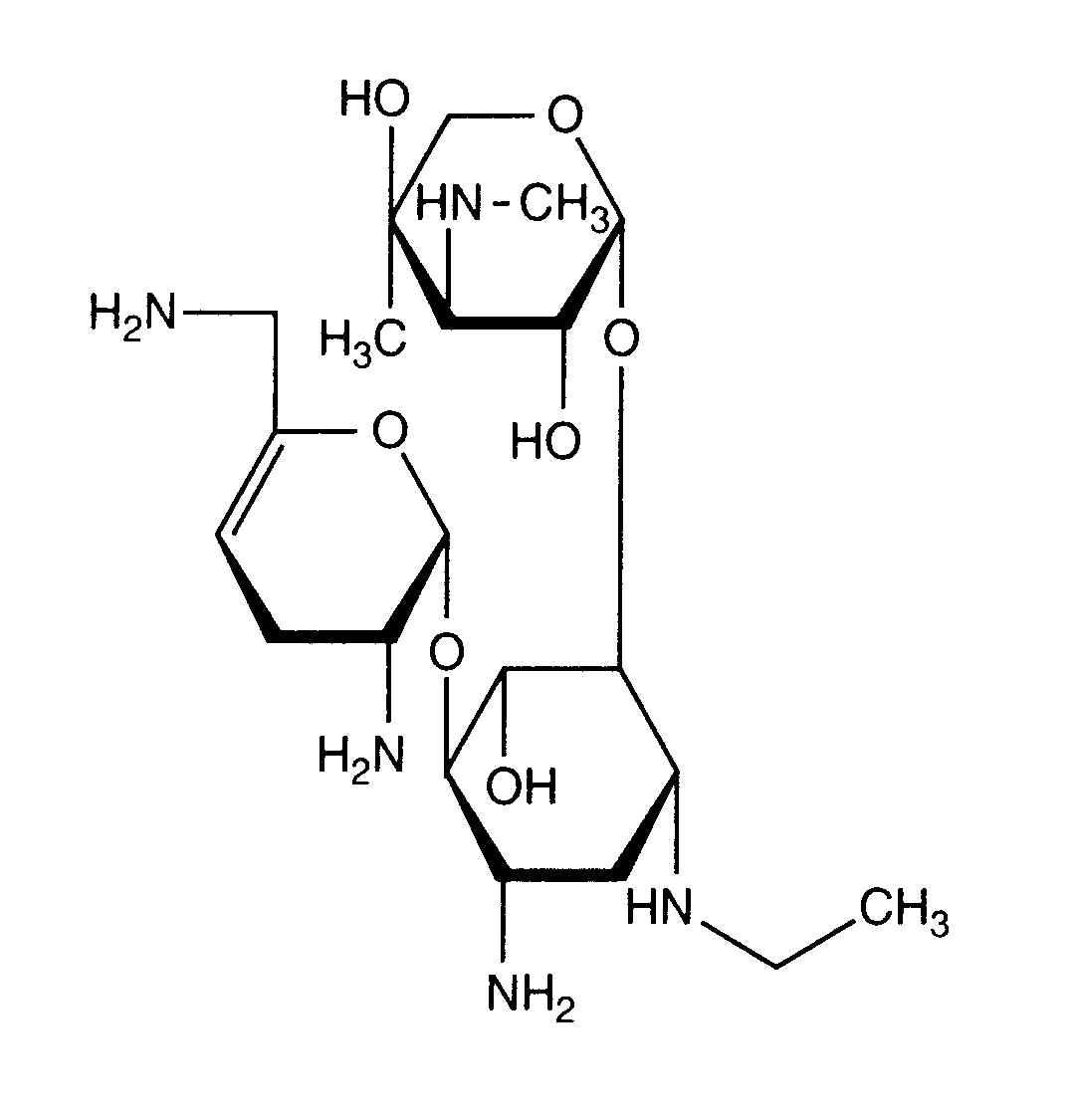
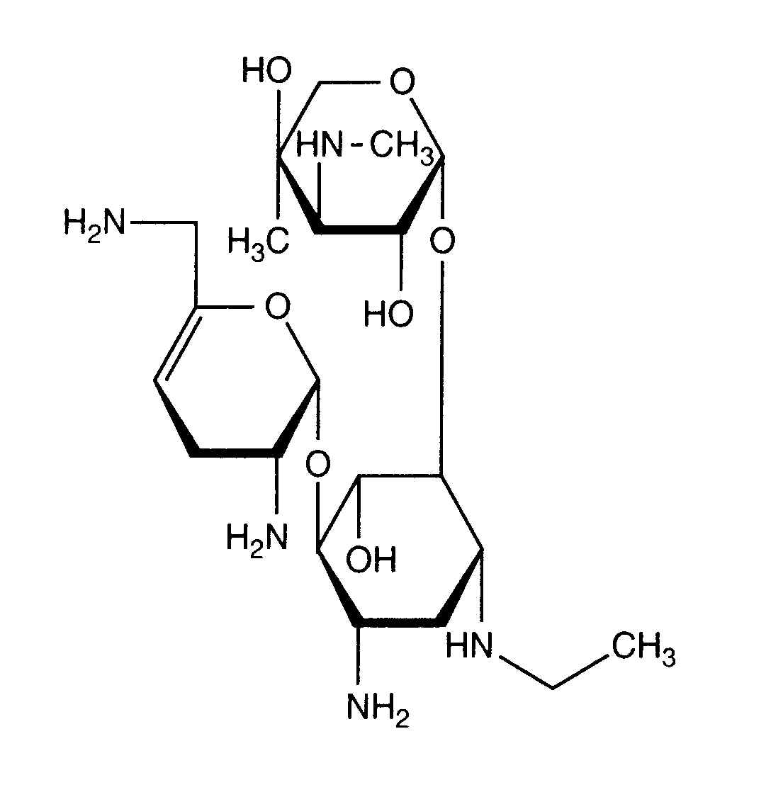
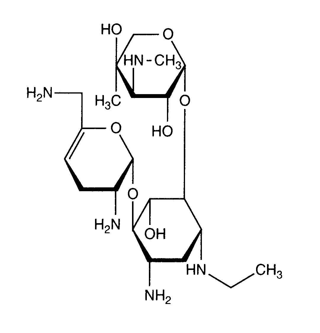
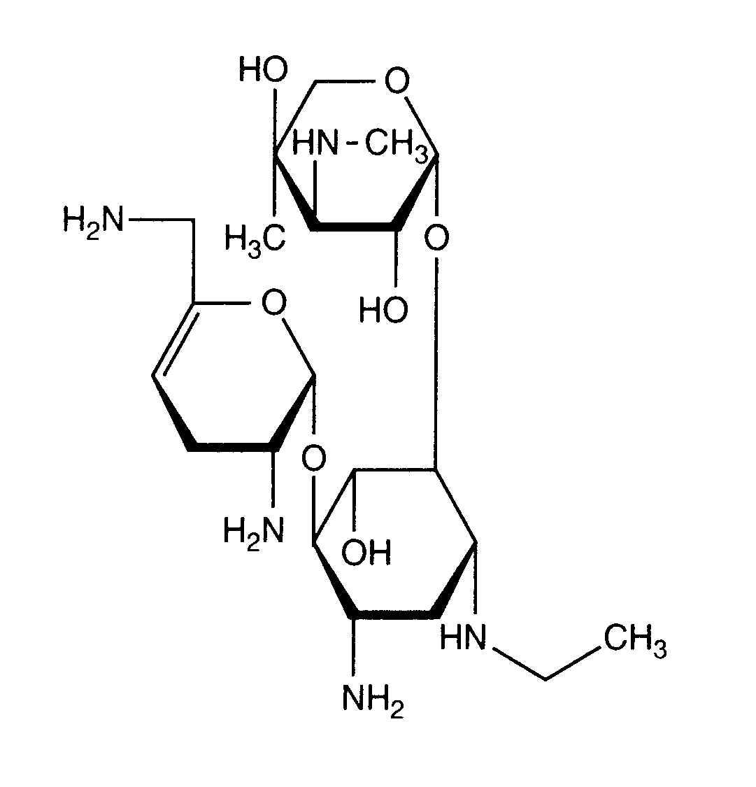
   化学構造  

エアロゾル
引用文献   エアロゾル   引用文献 : Netilmicin sulfate   
形式 出版物
2648 雑誌 Rieutord A, Arnaud P, Dauphin JF, Brion F.
Stability and compatibility of an aerosol mixture including N-acetylcysteine, netilmicin and betamethasone
Int J Pharm 1999 ; 190, 1: 103-107.

  Mentions Légales