Ultimele actualizari :
27/04/2026
Antibiotic   Netilmicin sulfate   
Aerosol
Injectabil
Stabilitatea preparatelor farmaceutice Stabilitatea in amestec Factorii care influenteaza stabilitatea Compatibilitate Bibliografie pdf
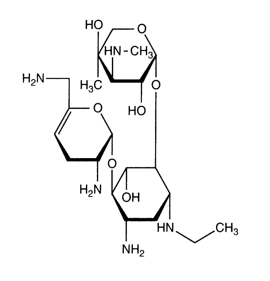
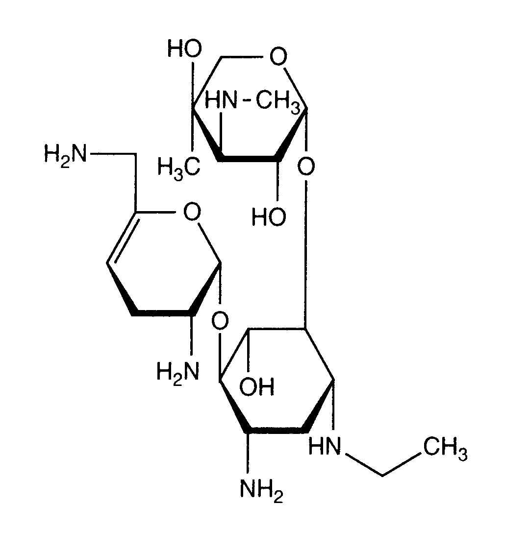
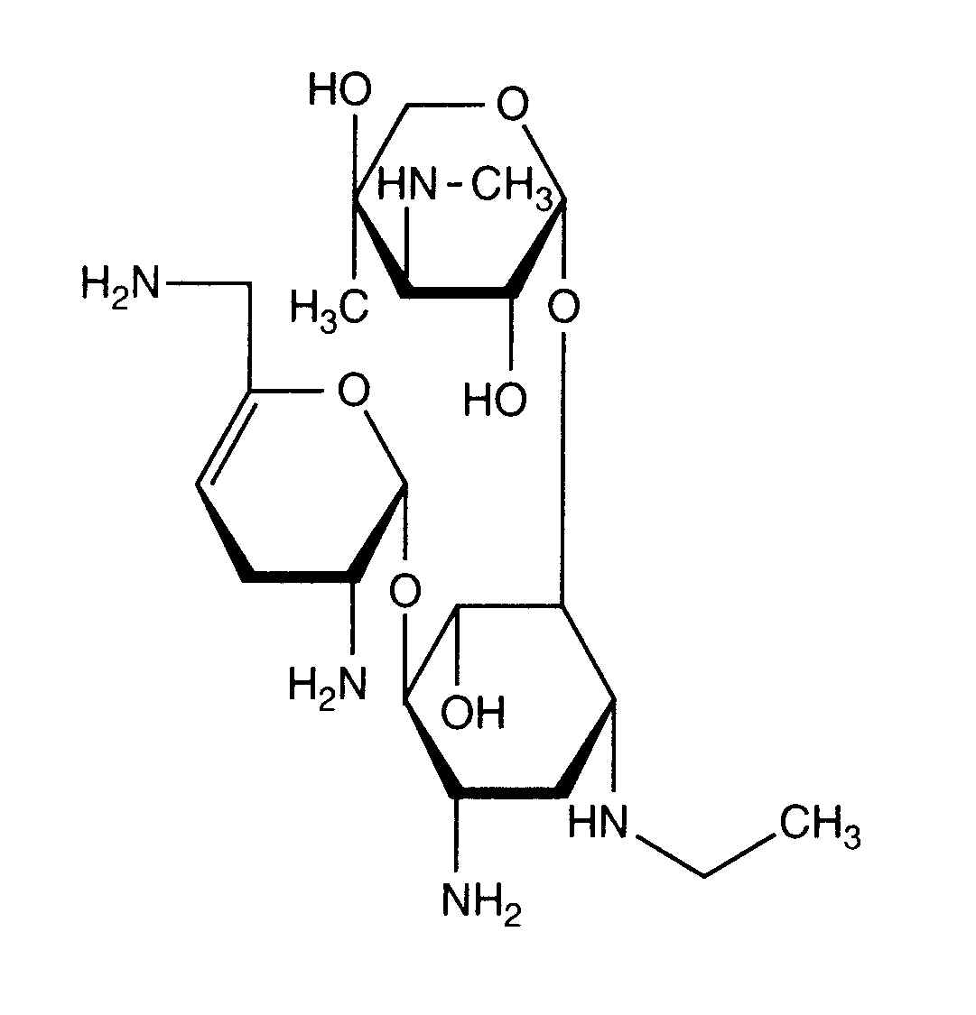
   Formula chimica  

Aerosol
Bibliografie   Aerosol   Bibliografie : Netilmicin sulfate   
tip publicare
2648 ziar Rieutord A, Arnaud P, Dauphin JF, Brion F.
Stability and compatibility of an aerosol mixture including N-acetylcysteine, netilmicin and betamethasone
Int J Pharm 1999 ; 190, 1: 103-107.

  Mentions Légales