آخر تحديث :
27/04/2026
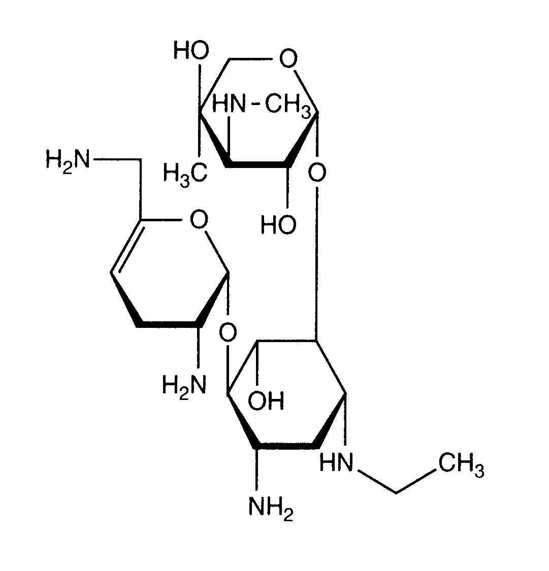
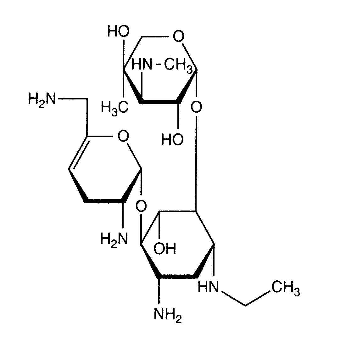
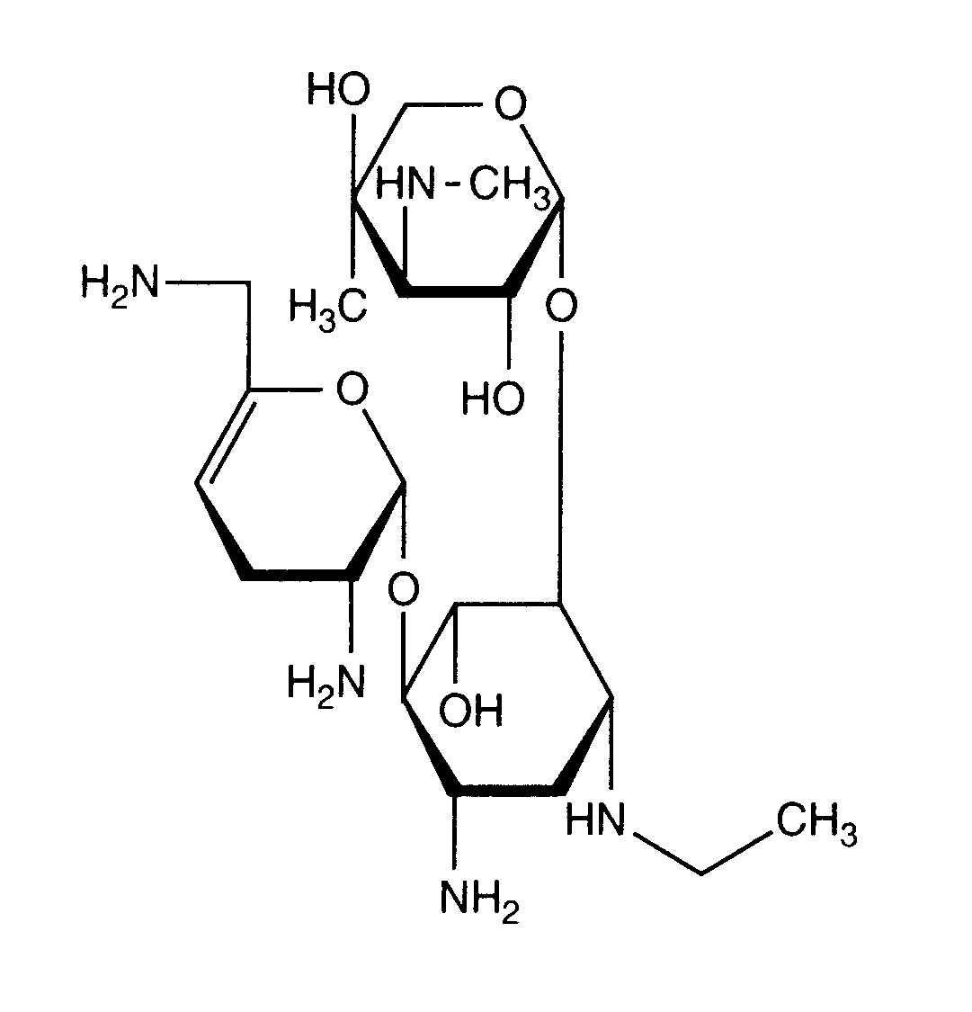
مضاد حيوي   Netilmicin sulfate   
الأيروصولات
حقن
استقرار المستحضرات الصيدلانية استقرار مخاليط العوامل التي تؤثر على الاستقرار التوافق مراجع pdf
   التركيب الكيميائي  

الأيروصولات
مراجع   الأيروصولات   مراجع : Netilmicin sulfate   
نوع منشور
2648 مجلة Rieutord A, Arnaud P, Dauphin JF, Brion F.
Stability and compatibility of an aerosol mixture including N-acetylcysteine, netilmicin and betamethasone
Int J Pharm 1999 ; 190, 1: 103-107.

  Mentions Légales