Última actualização :
27/04/2026
Infostab
Lista de compostos
Listas de leitura dos resumos de informação
Pesquise compatibilidades
Tabela de compatibilidade do site Y
Bibliografía
As equipas de investigação
valistab
poster
Conexões
patrocinadores
Autores
Manual do utilizador
Boletim de notícias
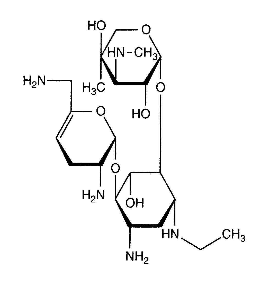
Netilmicin sulfate
estrutura química
Bibliografía : Netilmicin sulfate
tipo
publicação
2648
jornal
Rieutord A, Arnaud P, Dauphin JF, Brion F.
Stability and compatibility of an aerosol mixture including N-acetylcysteine, netilmicin and betamethasone
Int J Pharm 1999 ; 190, 1: 103-107.
Mentions Légales