Última actualização :
27/01/2026
Antifúngico   Amphotericin B   
Solução Oral
aerossol colutório injetável solução oftálmica
Estabilidade de preparações farmacêuticas Estabilidade em misturas Factores que afectam a sua estabilidade Compatibilidade Bibliografía pdf
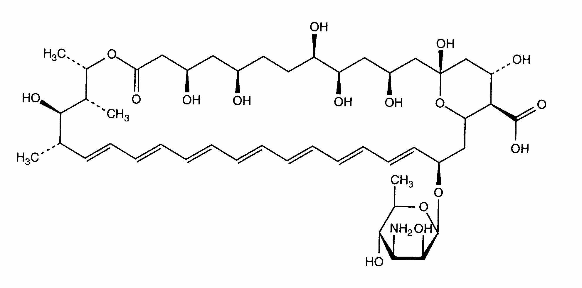
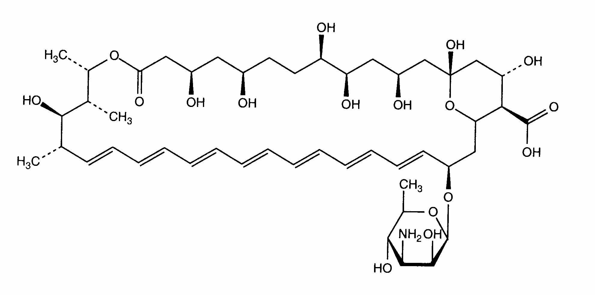
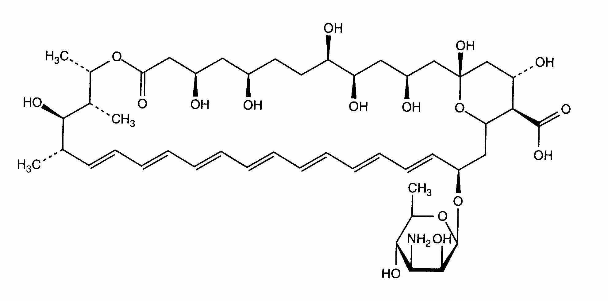
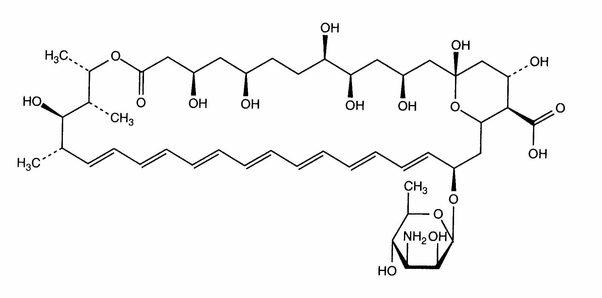
   estrutura química  

Solução Oral
Estabilidade de preparações farmacêuticas   Solução Oral   Estabilidade de preparações farmacêuticas : Amphotericin B      
Embalagem Origine excipiente temperatura conservação Duração da estabilidade Bibliografia
frasco de plástico pó 30 g
Amphotericin B
Na2HPO4 4.77 g
NaH2PO4 2.88 g
benzoato de sódio 300 mg
Metabissulfito de sódio 450 mg
ácido cítrico 2.25 g
carboximetilcelulose 1% 37.5 ml
metilparabeno 300 mg
propilparabeno 60 mg
aroma de cereja 1.2 ml
propilenoglicol 3 ml
ácido cítrico >> pH 4.3
A água purificada >> 300 ml
22-25°C ao abrigo da luz
93 dia
2940


  Mentions Légales