Utolsó frissítés :
27/04/2026
Gombaellenes szer   Amphotericin B   
belsőleges oldat
aeroszol Injekció Szájvíz Szemcsepp
Stabilitása gyógyszerészeti készítmények A keverékek stabilitása Stabilitást befolyásoló tényezők Kompatibilitás Irodalom pdf
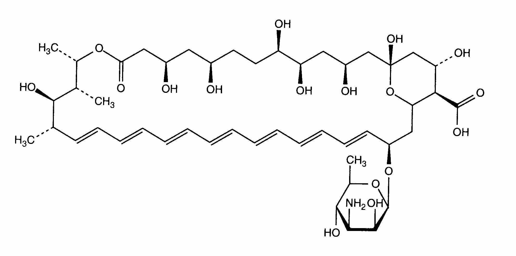
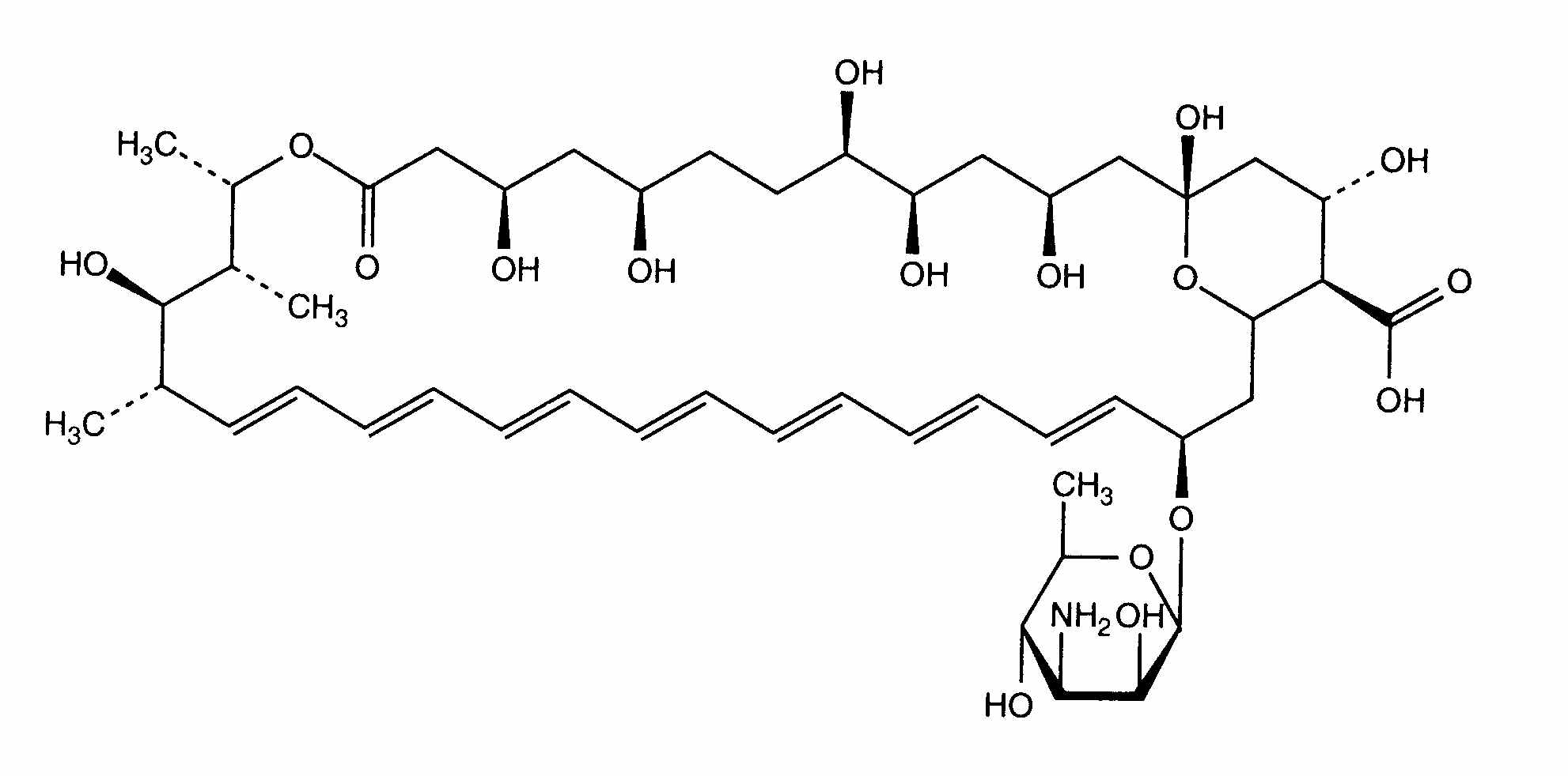
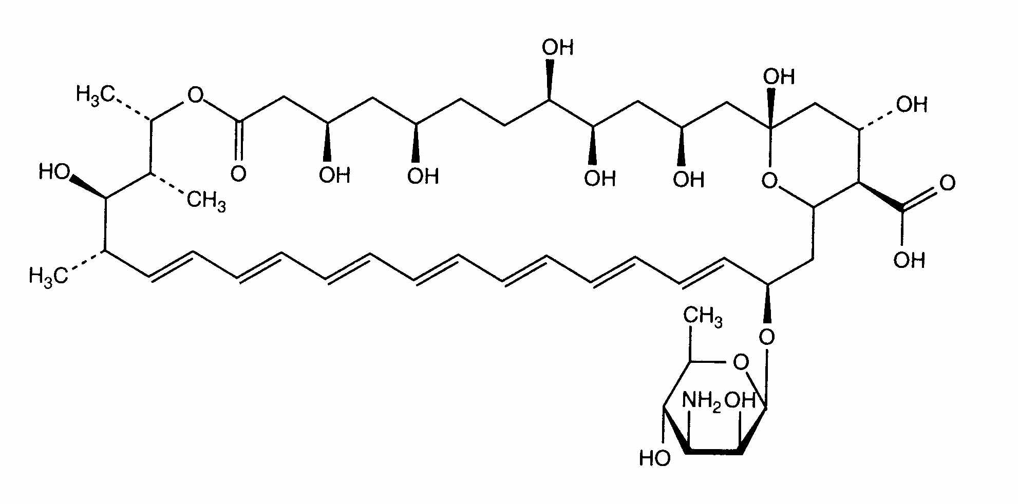
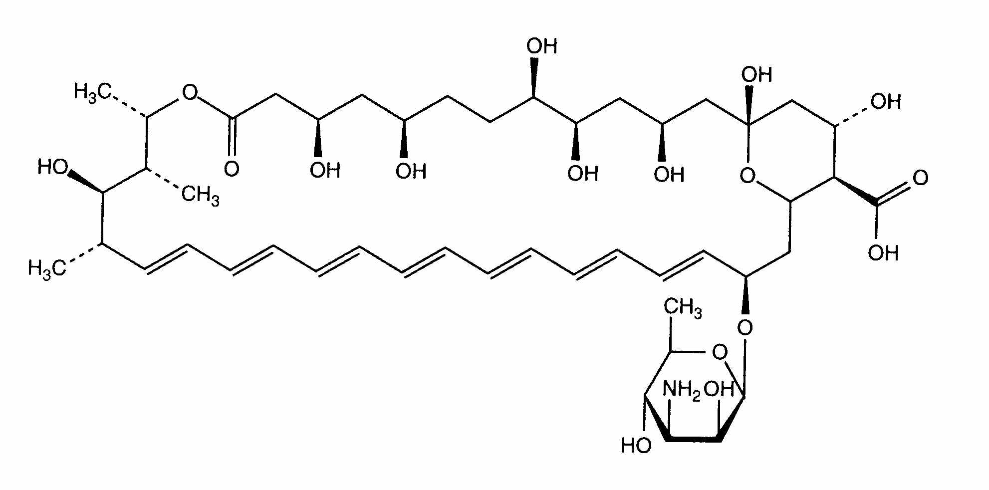
   Kémiai szerkezet   

belsőleges oldat
Stabilitása gyógyszerészeti készítmények   belsőleges oldat   Stabilitása gyógyszerészeti készítmények : Amphotericin B      
Csomagolás Origine segédanyag Hőmérséklet Tárolás A stabilitás időtartama Irodalom
műanyag flakon por 30 g
Amphotericin B
Na2HPO4 4.77 g
NaH2PO4 2.88 g
nátrium-benzoát 300 mg
Nátrium-metabiszulfit 450 mg
citromsav 2.25 g
karboximetilcellulóz 1% 37.5 ml
metil-parahidroxibenzoát 300 mg
Propylparaben 60 mg
Cseresznye aroma 1.2 ml
propilén-glikol 3 ml
citromsav >> pH 4.3
Tisztított víz >> 300 ml
22-25°C Fénytől védve tartandó
93 Nap
2940


  Mentions Légales