Последно актуализиране :
27/04/2026
Противогъбично средство   Amphotericin B   
Орален разтвор
Аерозол Инжекция/Инжекционен Капки за очи Разтвор за уста
Стабилност на лекарствени препарати Стабилност на смеси Фактори, повлияващи стабилността Съвместимост Библиография Pdf
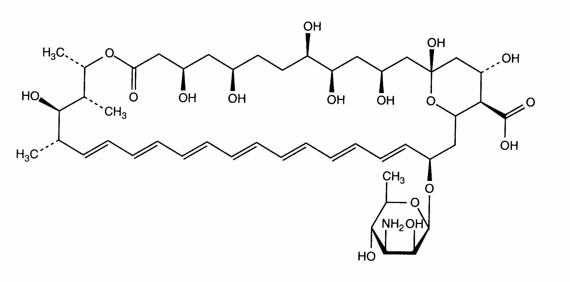
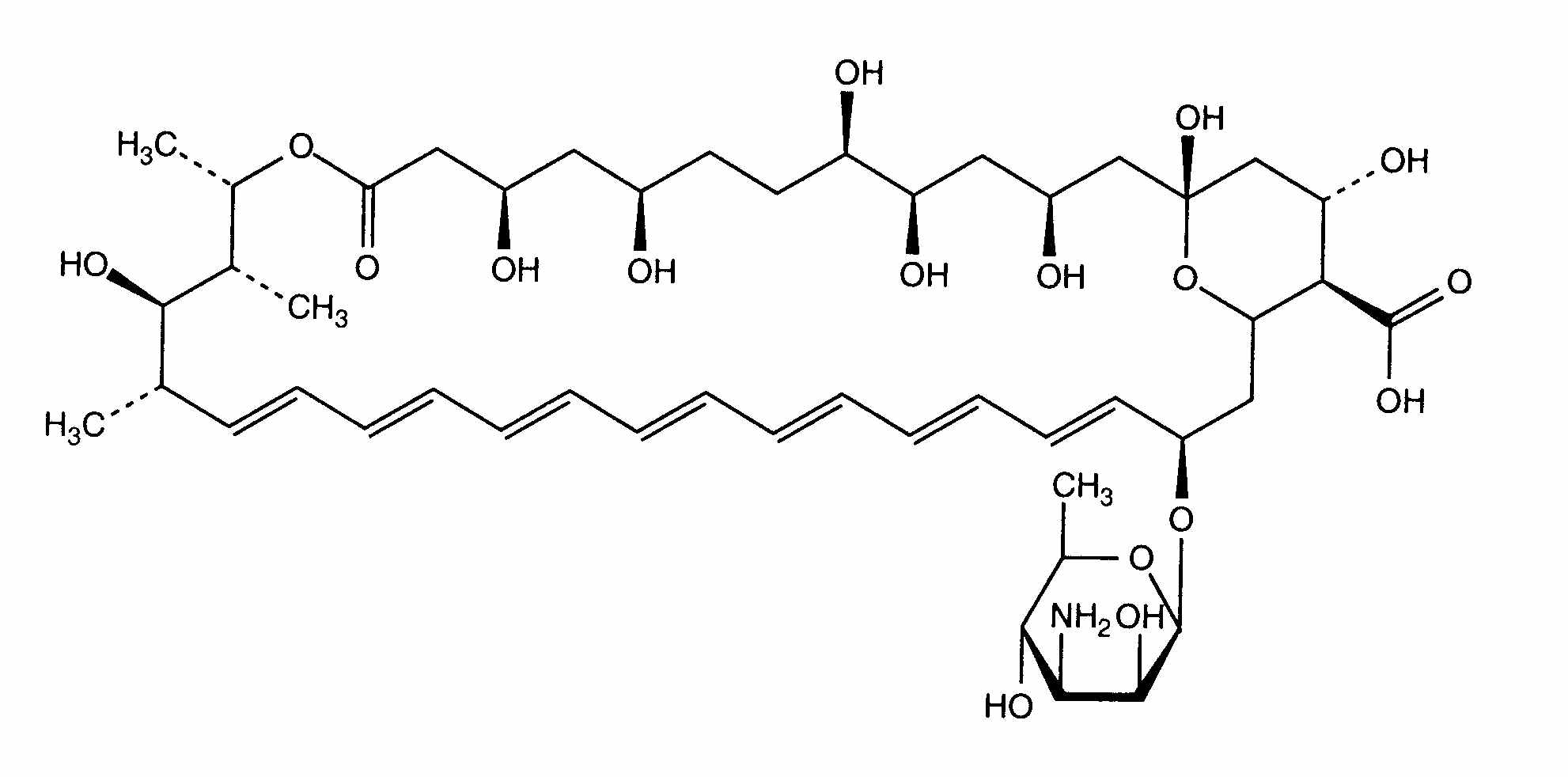
   Химична структура  

Орален разтвор
Стабилност на лекарствени препарати   Орален разтвор   Стабилност на лекарствени препарати : Amphotericin B      
Контейнер Origine Помощно вещество Температура Съхранение Продължителност на стабилността Библиография
Пластмасова бутилка Прах 30 g
Amphotericin B
Na2HPO4 4.77 g
NaH2PO4 2.88 g
Натриев бензоат 300 mg
Натриев метабисулфит 450 mg
Лимонена киселина 2.25 g
Карбоксиметилцелулоза 1% 37.5 ml
Метилпарабен 300 mg
Пропилпарабен 60 mg
Черешов вкус 1.2 ml
Пропилен гликол 3 ml
Лимонена киселина >> pH 4.3
Пречистена вода >> 300 ml
22-25°C Защита от светлина
93 Ден
2940


  Mentions Légales