Viimeisin päivitys :
27/01/2026
Sienilääkkeet   Amphotericin B   
Oraaliliuos
Aerosoli Injektioneste Silmätipat Suuvesi
Vakaus lääkevalmisteen Stabilius seoksissa Tekijät, jotka vaikuttavat stabiliuteen Yhteensopivuus Viitteet pdf
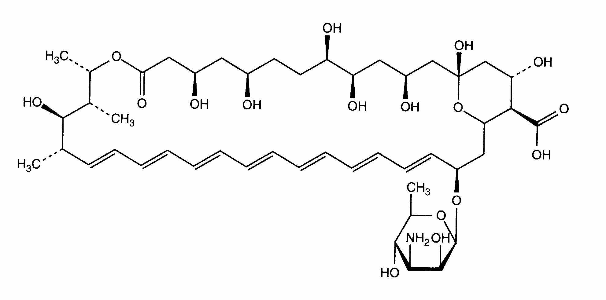
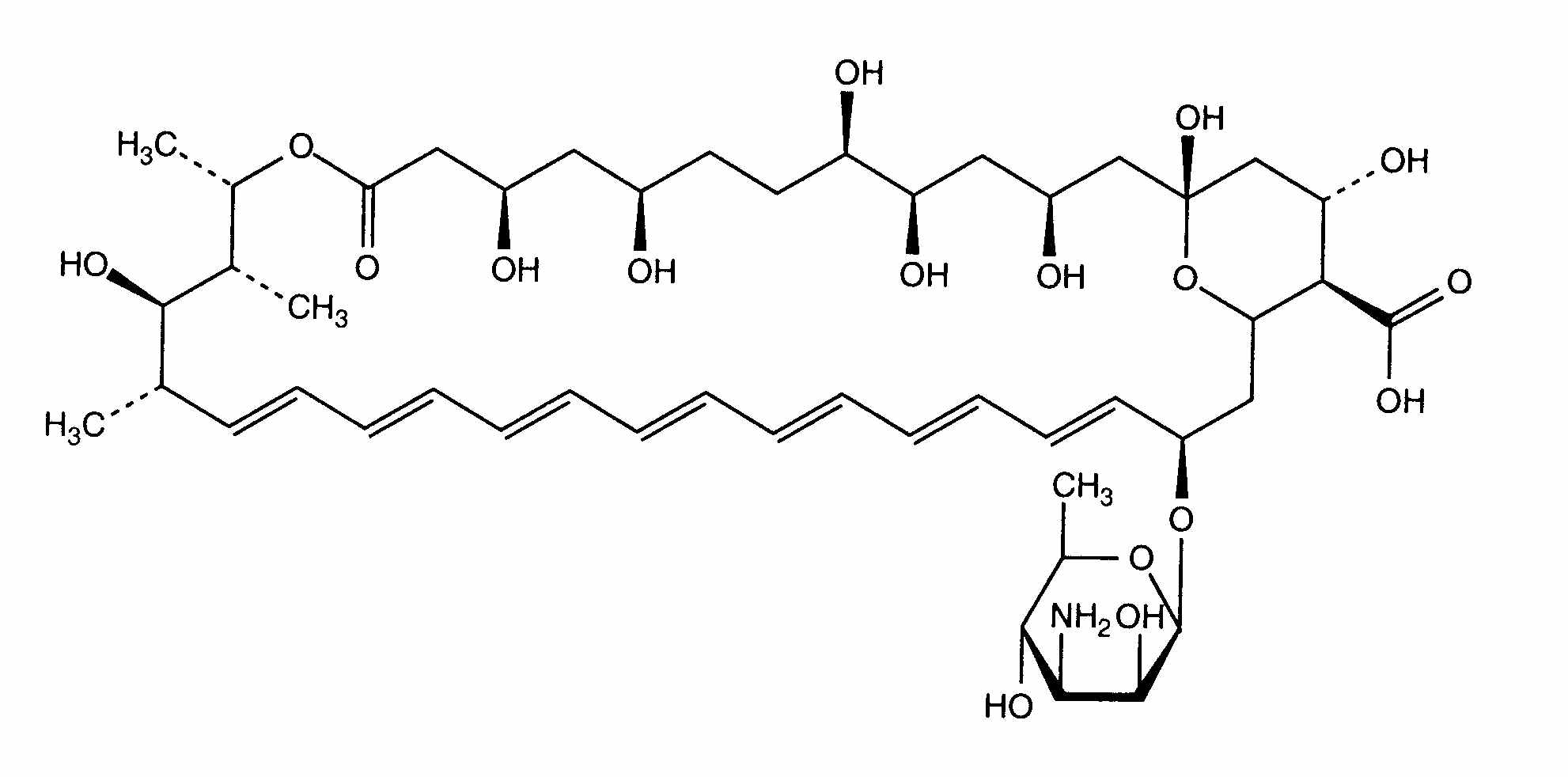
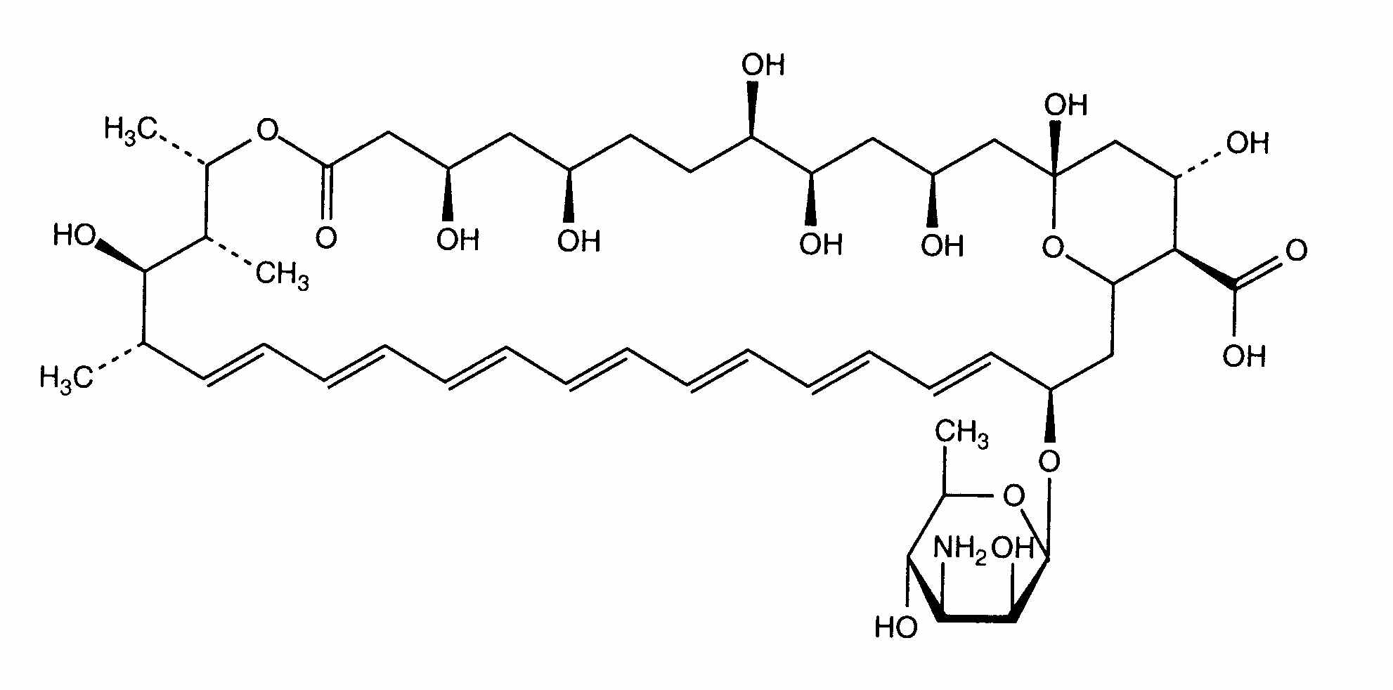
   Kemiallinen rakenne  

Oraaliliuos
Vakaus lääkevalmisteen   Oraaliliuos   Vakaus lääkevalmisteen : Amphotericin B      
Astia Origine Apuaine Lämpötila Säilytys Vakauden kesto Viitteet
Muovipullo Jauhe 30 g
Amphotericin B
Na2HPO4 4.77 g
NaH2PO4 2.88 g
Natriumbentsoaatti 300 mg
Natriummetabisulfiitti 450 mg
Sitruunahappo 2.25 g
Karboksimetyyliselluloosa 1% 37.5 ml
Metyyliparabeeni 300 mg
Propyyliparabeeni 60 mg
Kirsikka-aromi 1.2 ml
Propyleeniglykoli 3 ml
Sitruunahappo >> pH 4.3
Puhdistettu vesi >> 300 ml
22-25°C Suojattava valolta
93 Päivä
2940


  Mentions Légales