zadnja posodobitev :
27/04/2026
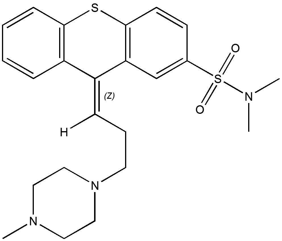
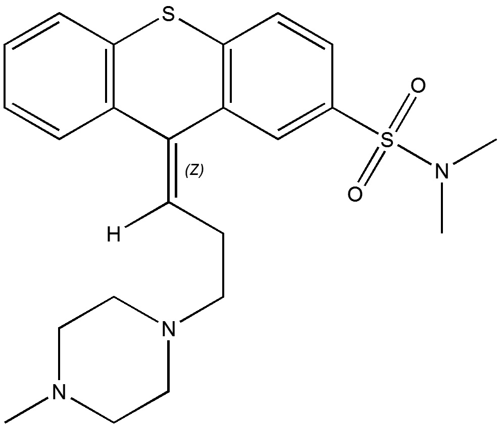
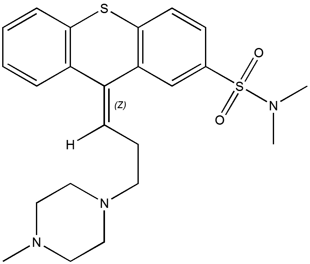
Nevroleptik   Thiothixene  
Peroralna raztopina
Stabilnost farmacevtskih preparatov Stabilnost mešanice Faktorji, ki vplivajo na stabilnost Kompatibilnost Viri pdf
   Kemična formula  

Peroralna raztopina
Stabilnost mešanice   Peroralna raztopina   Stabilnost mešanice : Thiothixene     
ni podatka

  Mentions Légales