Posledná aktualizácia :
27/04/2026
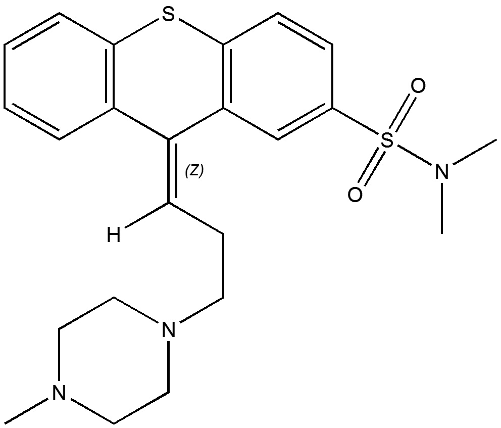
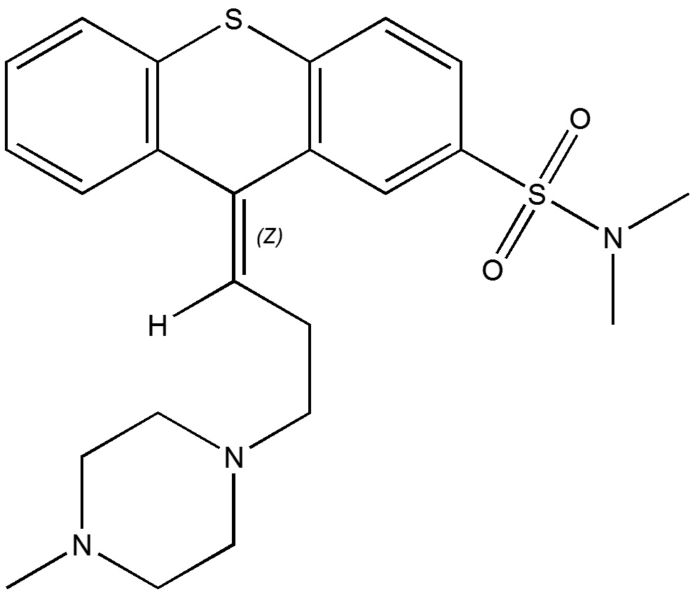
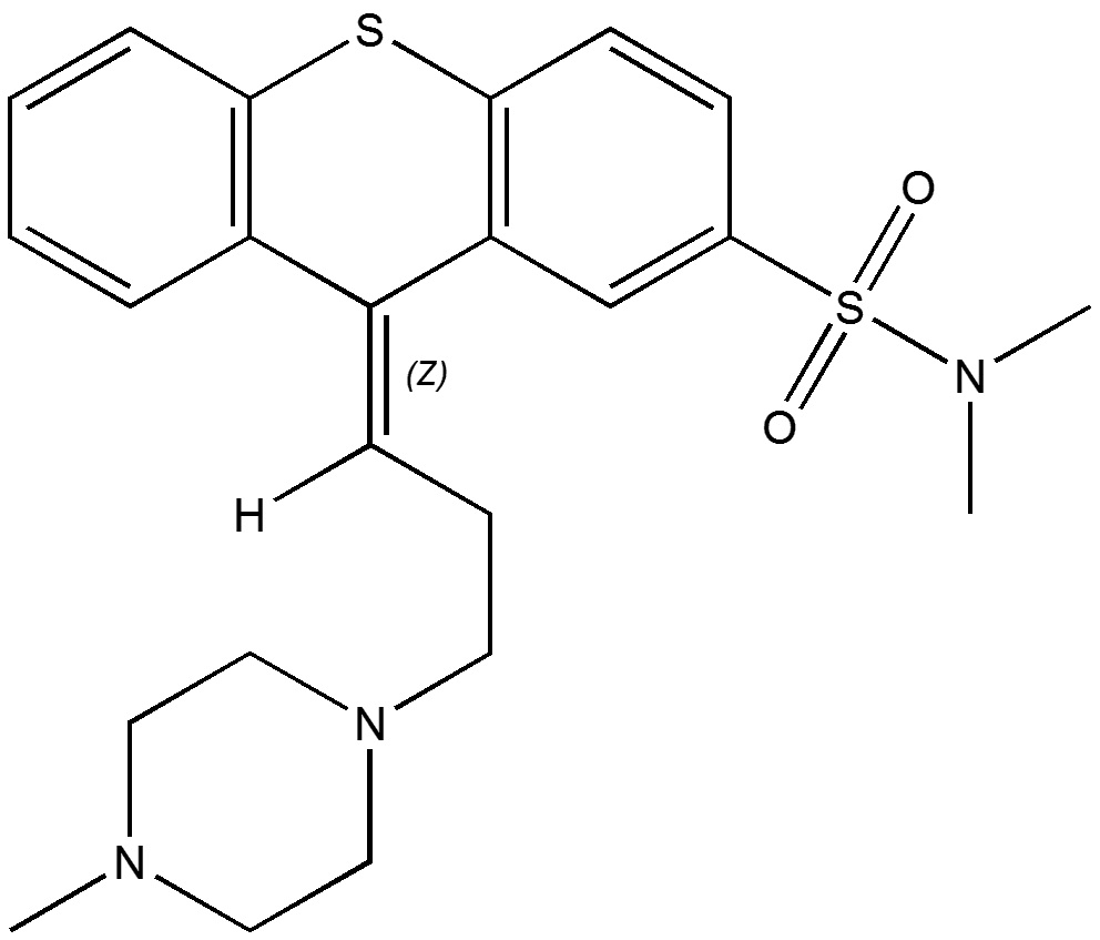
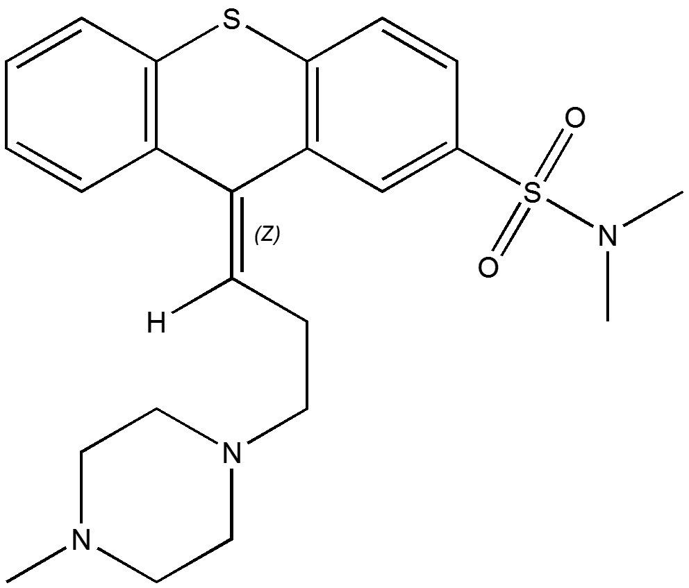
neuroleptikum   Thiothixene  
Perorálny roztok
Stabilita farmaceutických prípravkov Stabilita v zmesiach Faktory ovplyvňujúce stabilitu Kompatibility Odkazy na literatúru PDF
   Chemický vzorec  

Perorálny roztok
Stabilita v zmesiach   Perorálny roztok   Stabilita v zmesiach : Thiothixene     
žiadne údaje

  Mentions Légales