Siste oppdatering :
27/01/2026
kreft narkotika   Cabazitaxel  
Injeksjon
Oppløsningsstabilitet Stabilitet i blandinger Faktorer som påvirker stabiliteten Kompatibilitet Administrasjonsmåte Referanser pdf
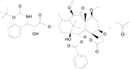
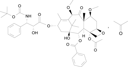
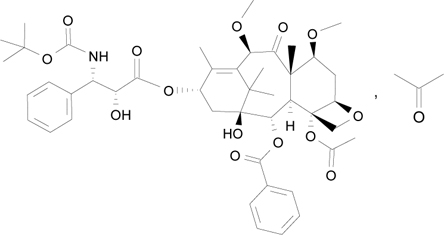
   Kjemisk struktur  

Handelsnavn   Handelsnavn     

Handelsnavn er veiledende og sammensetning av hjelpestoffer kan være forskjellig avhengig av land og produsent

Cabazil Argentina
Cabazitaxel Danmark, Finland, Spania, Tyskland
Cecalter Argentina
Jevtana Argentina, Australia, Belgia, Brasil, Canada, Chile, Colombia, Danmark, Ecuador, Finland, Frankrike, Island, Italia, Malaysia, Mexico, Norge, Peru, Romania, Slovenia, Spania, Storbritannia, Sveits, Tyrkia, Tyskland, USA
Proazitax Brasil
Xatiza Chile
Zitat Argentina
Stabilitet i blandinger   Injeksjon   Stabilitet i blandinger : Cabazitaxel     
Ingen opplysninger

  Mentions Légales