Ultimo aggiornamento :
27/01/2026
farmaco contro il cancro   Cabazitaxel  
Iniezione
Stabilità in soluzione Stabilità in miscela Fattori che influenzano la stabilità Compatibilità metodo di iniezione Bibliografia pdf
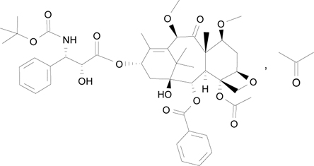
   Struttura chimica  

Nome commerciale   Nome commerciale     

Trade names are indicative and excipients composition can be different depending on the country and manufacturers

Cabazil Argentina
Cabazitaxel Danimarca, Finlandia, Germania, Spagna
Cecalter Argentina
Jevtana Argentina, Australia, Belgio, Brasile, Canada, Chile, Colombia, Danimarca, Ecuador, Finlandia, Francia, Germania, Gran Bretagna, Islanda, Italia, Malaysia, Messico, Norvegia, Perù, Romania, Slovenia, Spagna, Stati Uniti d’America, Svizzera, Turchia
Proazitax Brasile
Xatiza Chile
Zitat Argentina
Stabilità in miscela   Iniezione   Stabilità in miscela : Cabazitaxel     
Assenza di dati

  Mentions Légales