最新更新 :
27/01/2026
抗癌藥物   Cabazitaxel  
注射液
溶液稳定性 混合物稳定性 影响稳定性的因素 兼容性 用药途径 引用文献 PDF
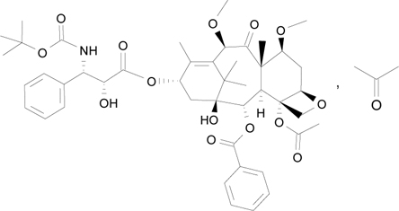
   化学式  

商品名   商品名     

商品名仅供参考, 药品所用的辅料可能依国家或厂商不同有所不同。

Cabazil 阿根廷
Cabazitaxel 丹麦, 德国, 芬兰, 西班牙
Cecalter 阿根廷
Jevtana 丹麦, 冰岛, 加拿大, 厄瓜多尔, 哥伦比亚, 土耳其, 墨西哥, 巴西, 德国, 意大利, 挪威, 斯洛文尼亚, 智利, 比利时, 法国, 澳大利亚, 瑞士, 秘鲁, 罗马尼亚, 美国, 芬兰, 英国, 西班牙, 阿根廷, 马来西亚
Proazitax 巴西
Xatiza 智利
Zitat 阿根廷
混合物稳定性   注射液   混合物稳定性 : Cabazitaxel     
无数据

  Mentions Légales