Τελευταία ενημέρωση :
27/01/2026
φάρμακο κατά του καρκίνου   Cabazitaxel  
Ενέσιμο
Σταθερότητα διαλυμάτων Σταθερότητα σε μίγματα Παράγοντας που επηρεάζει τη σταθερότητα Συμβατότητες Τρόπος χορήγησης Βιβλιογραφία pdf
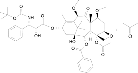
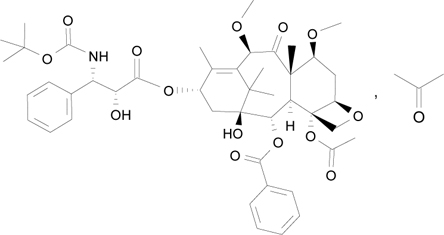
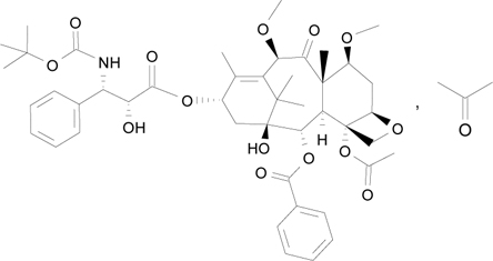
   χημική δομή  

Εμπορική ονομασία   Εμπορική ονομασία     

Οι εμπορικές ονομασίες είναι ενδεικτικές και η σύνθεση των εκδόχων μπορεί να διαφέρει ανάλογα με τη χώρα και τα εργαστήρια

Cabazil Αργεντινή
Cabazitaxel Γερμανία, Δανία, Ισπανία, Φινλανδία
Cecalter Αργεντινή
Jevtana Αργεντινή, Αυστραλία, Βέλγιο, Βραζιλία, Γαλλία, Γερμανία, Δανία, Εκουαδόρ, Ελβετία, Η.Π.Α., Ισλανδία, Ισπανία, Ιταλία, Καναδάς, Κολομβία, Μαλαισία, Μεγάλη Βρετανία, Μεξικό, Νορβηγία, Περού, Ρουμανία, Σλοβενία, Τουρκία, Φινλανδία, Χιλή
Proazitax Βραζιλία
Xatiza Χιλή
Zitat Αργεντινή
Σταθερότητα σε μίγματα   Ενέσιμο   Σταθερότητα σε μίγματα : Cabazitaxel     
Δεν υπάρχουν πληροφορίες

  Mentions Légales