Cập nhật lần cuối :
27/01/2026
thuốc trị ung thư   Cabazitaxel  
Dạng tiêm
Tính ổn định của các dung dịch Độ ổn định khi trộn lẫn Những yếu tố ảnh hưởng đến độ ổn định Khả năng tương thích Đường dùng Tài liệu tham khảo Pdf
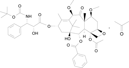
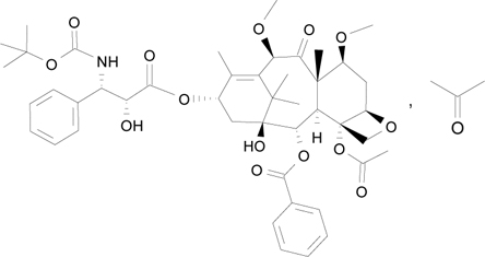
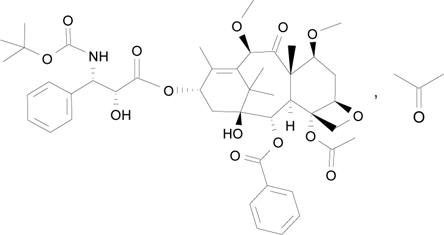
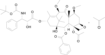
   Cấu trúc hóa học  

Tên thương mại   Tên thương mại     

Các tên thương mại được cung cấp và thành phần tá dược có thể khác nhau giữa các quốc gia và các hãng dược

Cabazil Argentina
Cabazitaxel Phần Lan, Tây Ban Nha, Đan Mạch, Đức
Cecalter Argentina
Jevtana Anh, Argentina, Bỉ, Brazil, Canada, Chile, Colombia, Ecuador, Hoa Kỳ, Iceland, Malaysia, Mexico, Na Uy, Peru, Phần Lan, Pháp, Romania, Slovenia, Tây Ban Nha, Thổ Nhĩ Kỳ, Thụy Sỹ, Úc, Ý, Đan Mạch, Đức
Proazitax Brazil
Xatiza Chile
Zitat Argentina

Những yếu tố ảnh hưởng đến độ ổn định   Dạng tiêm   Những yếu tố ảnh hưởng đến độ ổn định : Cabazitaxel        

  Mentions Légales