Letztes “update” :
27/01/2026
Antikrebsmittel   Cabazitaxel  
Injektion
Stabilität der Lösung Gemengestabilität Stabilitätbeeinflussende Faktoren Kompatibilitäten Applikationsart Literaturverzeichnis pdf
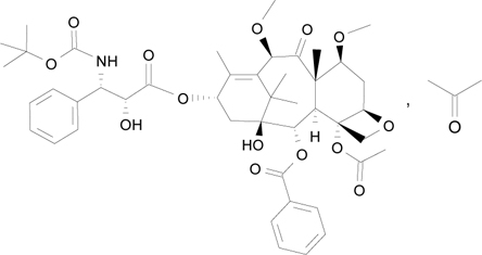
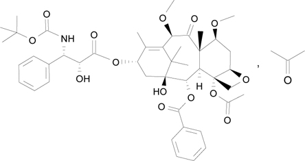
   Chemische Struktur  

Handelsmarke   Handelsmarke     

Handelsnamen sind als beispielhaft anzusehen. Sonstige Bestandteile können je nach Hersteller oder Land verschieden sein

Cabazil Argentinien
Cabazitaxel Dänemark, Deutschland, Finnland, Spanien
Cecalter Argentinien
Jevtana Argentinien, Australien, Belgien, Brasilien, Chile, Dänemark, Deutschland, Ecuador, Finnland, Frankreich, Großbritannien, Island, Italien, Kanada, Kolumbien, Malaysia, Mexiko, Norwegen, Peru, Rumänien, Schweiz, Slowenien, Spanien, Türkei, Vereinigte Staaten von Amerika
Proazitax Brasilien
Xatiza Chile
Zitat Argentinien

Stabilitätbeeinflussende Faktoren   Injektion   Stabilitätbeeinflussende Faktoren : Cabazitaxel        

  Mentions Légales