Последнее обновление :
27/01/2026
Цитостатическое средство   Cabazitaxel  
Инъекция
Стабильность растворов Стабильность смесей Факторы, которые влияют на стабильность Совместимость Способы введения Библиография pdf
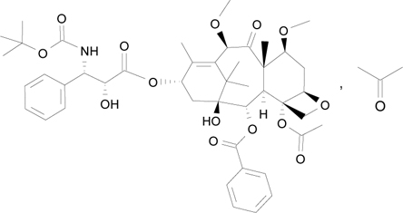
   Химическая структура  

Товарное название   Товарное название     

Trade names are indicative and excipients composition can be different depending on the country and manufacturers

Cabazil Аргентина
Cabazitaxel Германия, Дания, Испания, Финляндия
Cecalter Аргентина
Jevtana Австралия, Аргентина, Бельгия, Бразилия, Великобритания, Германия, Дания, Исландия, Испания, Италия, Канада, Колумбия, Малайзия, Мексика, Норвегия, Перу, Румыния, Словения, Соединённые Штаты Америки, Турция, Финляндия, Франция, чили, Швейцария, Эквадор
Proazitax Бразилия
Xatiza чили
Zitat Аргентина

Факторы, которые влияют на стабильность   Инъекция   Факторы, которые влияют на стабильность : Cabazitaxel        

  Mentions Légales