Poslední aktualizace :
27/01/2026
rakovina drog   Cabazitaxel  
injekce
Stabilita roztoků Stabilita směsí Faktory ovlivňující stabilitu Kompatibilita Způsoby aplikace Odkazy pdf
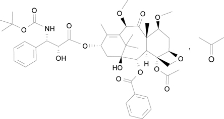
   Chemický vzorec  

Obchodní název   Obchodní název     

Trade names are indicative and excipients composition can be different depending on the country and manufacturers

Cabazil Argentina
Cabazitaxel äpanÏlsko, Dánsko, Finsko, NÏmecko
Cecalter Argentina
Jevtana äpanÏlsko, Argentina, Austrálie, Belgie, BrazÌlie, Chile, Dánsko, Ekvádor, Finsko, Francie, Island, Itálie, Kanada, Kolumbie, Malajsie, Mexiko, NÏmecko, Norsko, Peru, Rumunsko, Slovinsko, Švýcarsko, Turecko, USA, Velká Británie
Proazitax BrazÌlie
Xatiza Chile
Zitat Argentina

Faktory ovlivňující stabilitu   injekce   Faktory ovlivňující stabilitu : Cabazitaxel        

  Mentions Légales