Ostatnia aktualizacja :
27/01/2026
Lek cytostatyk   Cabazitaxel  
Injekcje
Trwałość roztworów Trwałość w mieszaninie Czynnik wpływający na trwałość Zgodność Sposób podania Bibliografia pdf
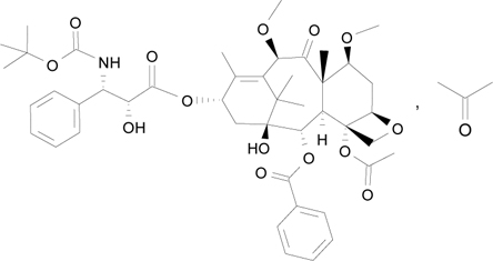
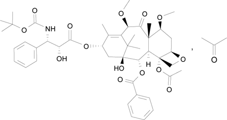
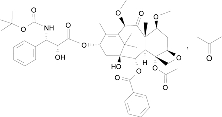
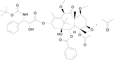
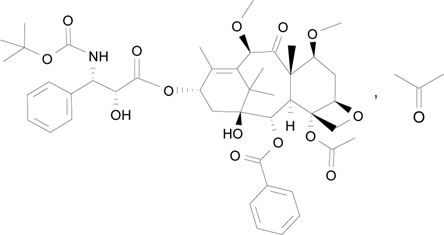
   Struktura chemiczna  

Nazwa handlowa   Nazwa handlowa     

Trade names are indicative and excipients composition can be different depending on the country and manufacturers

Cabazil Argentyna
Cabazitaxel Dania, Finlandia, Hiszpania, Niemcy
Cecalter Argentyna
Jevtana Argentyna, Australia, Belgia, Brazylia, Chile, Dania, Ekwador, Finlandia, Francja , Hiszpania, Islandia, Kanada, KolumbiaKolumbia, Malezja, Meksyk, Niemcy, Norwegia, Peru, Rumunia, Stany Zjednoczone Ameryki, Szwajcaria, Słowenia, Turcja, Wielka Brytania, Włochy
Proazitax Brazylia
Xatiza Chile
Zitat Argentyna
Zgodność   Injekcje   Zgodność : Cabazitaxel              
Ekran ten wskazuje na kompatybilności lub niezgodności z, w tym przypadku, rodzajem niezgodności (strącanie, zmiana koloru, modyfikacja emulsji, itp.). Przedstawione tutaj kompatybilności są głównie fizyczne, a stabilność chemiczna każdej cząsteczki jest rzadko oceniana. Ocenę tych mieszanin badano w celu rozważenia możliwości podania pacjentowi w miejscu Y. Dane te nie mogą być wykorzystywane do sporządzania mieszanin z wyprzedzeniem w workach lub strzykawkach. Tego typu informacje są dostępne na ekranie „Stabilność w mieszaninie”.
Związek Rozpuszczalnik Bibliografia

  Mentions Légales